| Prethodna tema :: Sljedeća tema |
| Autor/ica |
Poruka |
Ilmych Forumaš(ica)

Pridružen/a: 29. 10. 2007. (22:34:16) Postovi: (6)16
|
|
| [Vrh] |
|
buba Forumaš(ica)


Pridružen/a: 29. 10. 2004. (21:53:15) Postovi: (57B)16
Spol: 
|
|
| [Vrh] |
|
Ilmych Forumaš(ica)

Pridružen/a: 29. 10. 2007. (22:34:16) Postovi: (6)16
|
|
| [Vrh] |
|
vsego Site Admin


Pridružen/a: 06. 10. 2002. (22:07:09) Postovi: (3562)16
Spol: 
Lokacija: /sbin/init
|
Postano: 15:17 uto, 27. 5. 2008 Naslov: |
|
|
|
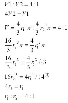
Pa, znas formulu za volumen kugle:
[latex]V = \frac{4\pi{}r^3}3[/latex]
Dakle, iz tvog omjera imamo:
[latex]\frac41 = \frac{V_1}{V_2} = \frac{\frac{4\pi{}r_1^3}3}{\frac{4\pi{}r_2^3}3} = \left(\frac{r_1}{r_2}\right)^3[/latex],
tj.
[latex]\frac{r_1}{r_2} = \sqrt[3]4[/latex]
Dakle, ok ti je do na predzadnji korak gdje pogubis trece potencije na [i]r[/i]-ovima. :)
Za oplosja se lako izracuna iz formule
[latex]P = 4r^2\pi[/latex]
ovako:
[latex]P_1 : P_2 = \frac{4r_1^2\pi}{4r_2^2\pi} = \left(\frac{r_1}{r_2}\right)^2 = \sqrt[3]{16} = 2\sqrt[3]2[/latex]
:)
Pa, znas formulu za volumen kugle:
Dakle, iz tvog omjera imamo:
,
tj.
Dakle, ok ti je do na predzadnji korak gdje pogubis trece potencije na r-ovima.
Za oplosja se lako izracuna iz formule
ovako:
_________________ U pravilu ignoriram pitanja u krivim topicima i kodove koji nisu u [code]...[/code] blokovima.
Takodjer, OBJASNITE sto vas muci! "Sto mi je krivo?", bez opisa u cemu je problem, rijetko ce zadobiti moju paznju. 
|
|
| [Vrh] |
|
|