Search
 
 
  Engleski
 
 
 
Open in this window (click to change)
Forum@DeGiorgi: Početna
Forum za podršku nastavi na PMF-MO
Login Registracija FAQ Smajlići Članstvo Pretražnik Forum@DeGiorgi: Početna

Grupne konzultacije
WWW:

Moja sarma
 
Započnite novu temu   Odgovorite na temu   printer-friendly view    Forum@DeGiorgi: Početna -> Kolegiji 3. godine -> Kompleksna analiza
Prethodna tema :: Sljedeća tema  
Autor/ica Poruka
ivo34
Forumaš(ica)
Forumaš(ica)


Pridružen/a: 03. 02. 2005. (10:11:04)
Postovi: (171)16
Spol: muško
Sarma = la pohva - posuda
35 = 43 - 8

PostPostano: 20:57 uto, 23. 6. 2009    Naslov: Grupne konzultacije Citirajte i odgovorite

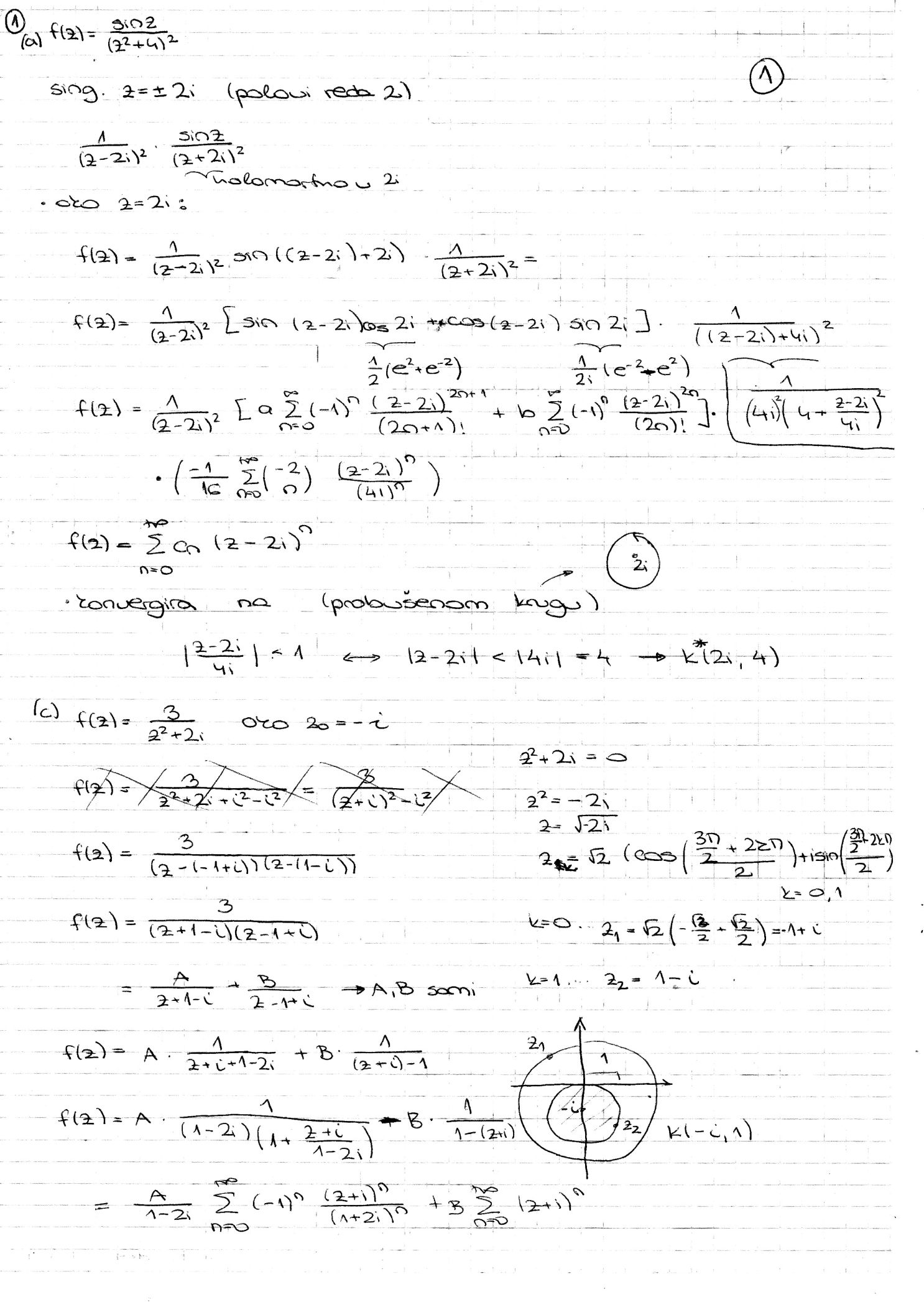
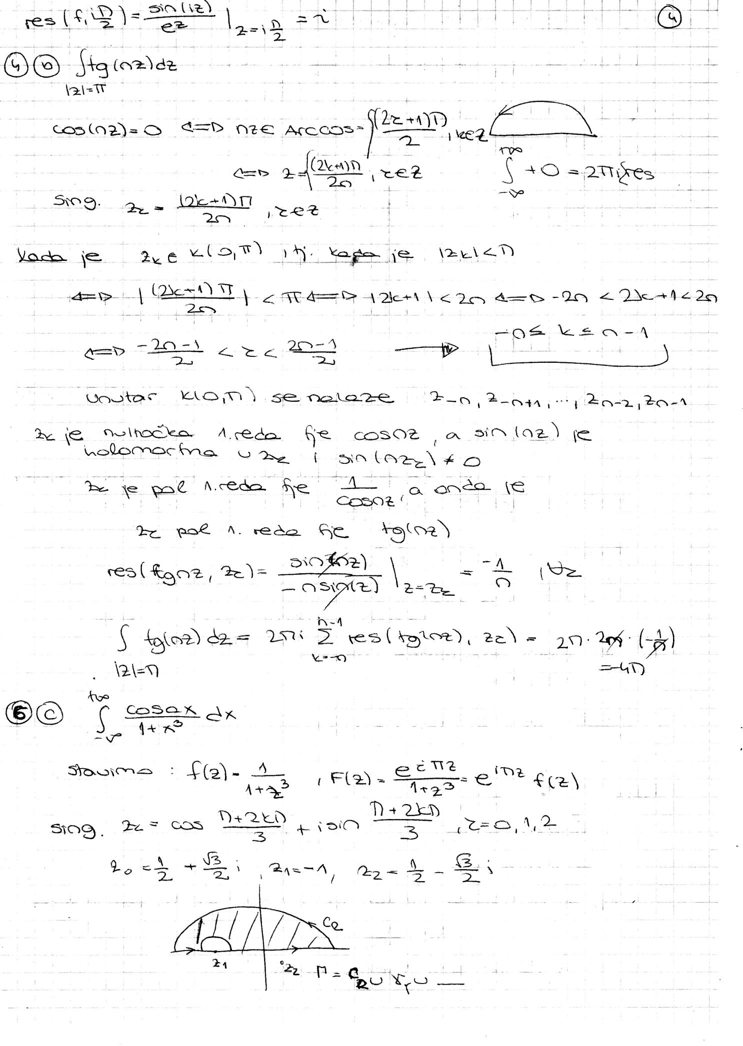
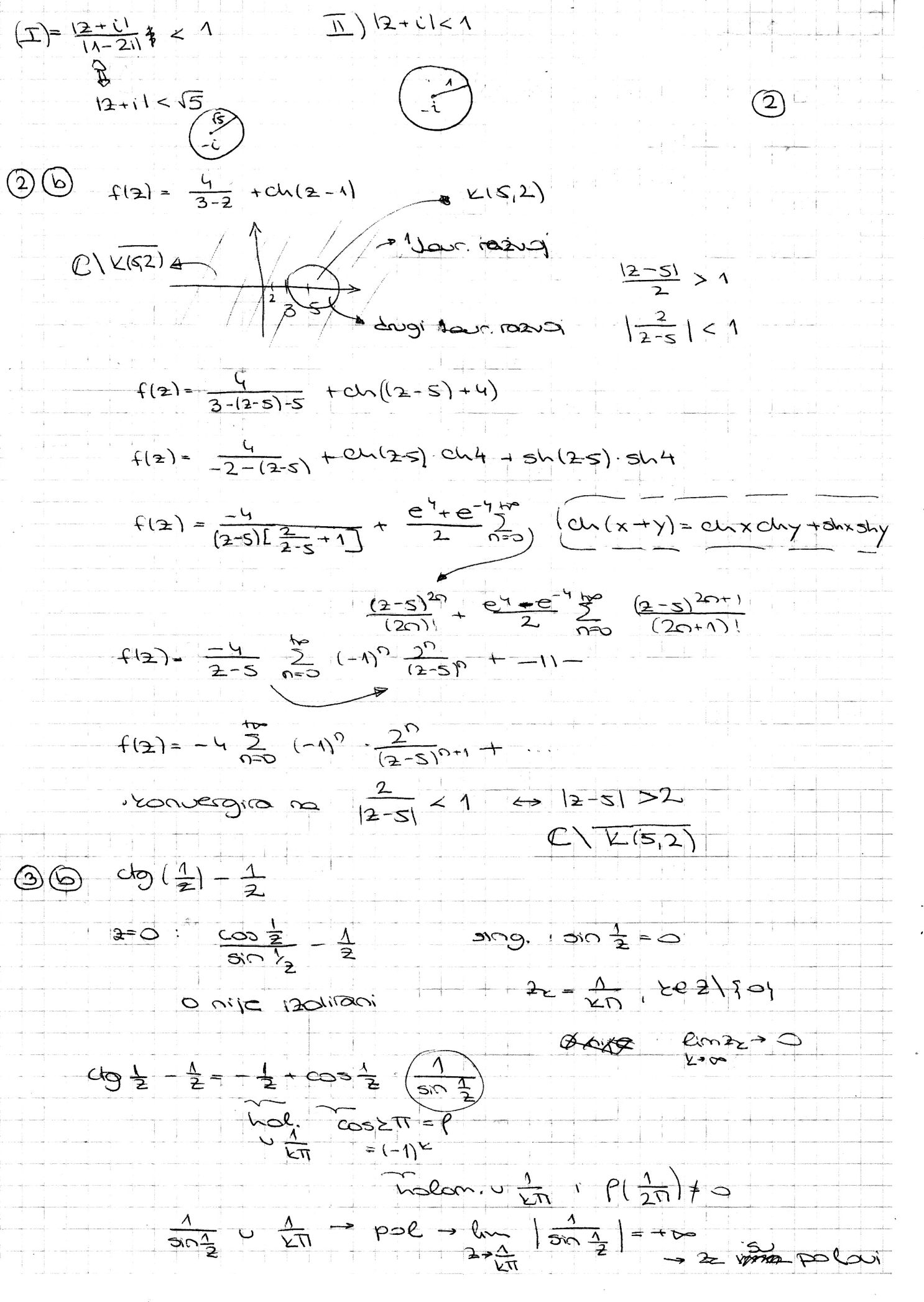
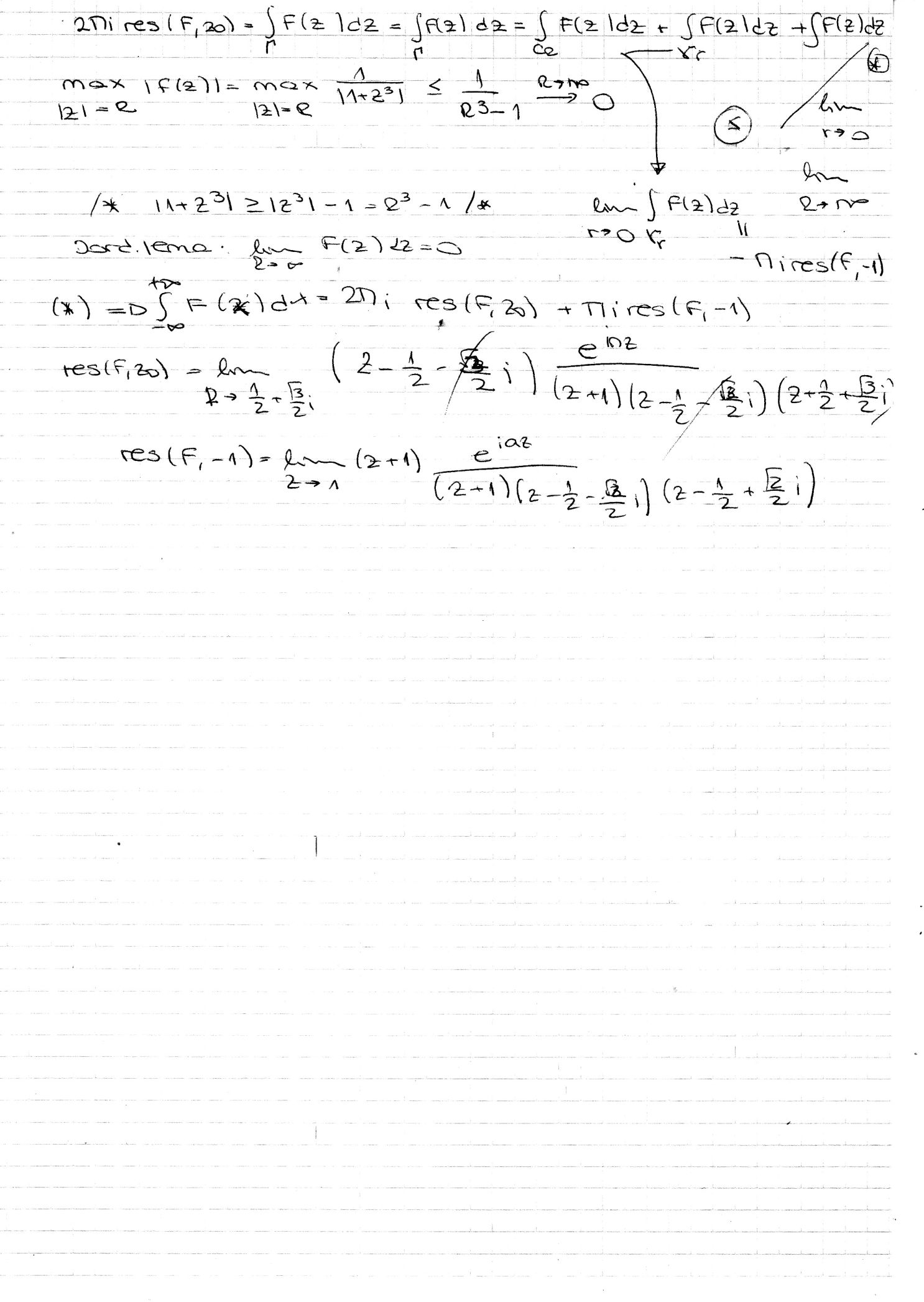
Vidim da su neki trazili, pa evo grupne konzultacije od kolegice... :wink:
Vidim da su neki trazili, pa evo grupne konzultacije od kolegice... Wink


konz04.jpg
 Description:
 Filesize:  301.66 KB
 Viewed:  301 Time(s)

konz04.jpg



konz03.jpg
 Description:
 Filesize:  287.65 KB
 Viewed:  253 Time(s)

konz03.jpg



konz05.jpg
 Description:
 Filesize:  233.59 KB
 Viewed:  240 Time(s)

konz05.jpg



konz02.jpg
 Description:
 Filesize:  306.14 KB
 Viewed:  236 Time(s)

konz02.jpg



konz01.jpg
 Description:
 Filesize:  326.14 KB
 Viewed:  266 Time(s)

konz01.jpg


[Vrh]
Korisnički profil Pošaljite privatnu poruku
shumi1
Forumaš(ica)
Forumaš(ica)


Pridružen/a: 04. 11. 2005. (20:28:04)
Postovi: (9F)16
Spol: muško
Sarma = la pohva - posuda
55 = 57 - 2

PostPostano: 21:18 uto, 23. 6. 2009    Naslov: Citirajte i odgovorite

hvala :w00t:
hvala w00t!



_________________
Verum, sine mendatio, certum et verissimum
[Vrh]
Korisnički profil Pošaljite privatnu poruku
mladac
Forumaš(ica)
Forumaš(ica)


Pridružen/a: 24. 10. 2005. (22:46:14)
Postovi: (4D5)16
Spol: žensko
Sarma = la pohva - posuda
34 = 91 - 57
Lokacija: zg

PostPostano: 22:41 uto, 23. 6. 2009    Naslov: Citirajte i odgovorite

opa. karma ++
opa. karma ++



_________________
potpis
[Vrh]
Korisnički profil Pošaljite privatnu poruku Pošaljite e-mail
teh_pwnerer
Forumaš(ica)
Forumaš(ica)


Pridružen/a: 02. 02. 2006. (19:06:27)
Postovi: (62)16
Sarma = la pohva - posuda
= 2 - 0

PostPostano: 0:55 sri, 24. 6. 2009    Naslov: Citirajte i odgovorite

Hvala puno! :klapklap:
Hvala puno! Toooooo, majstoreeeee!


[Vrh]
Korisnički profil Pošaljite privatnu poruku
the maja
Forumaš(ica)
Forumaš(ica)


Pridružen/a: 26. 11. 2006. (09:35:27)
Postovi: (5D)16
Spol: žensko
Sarma = la pohva - posuda
31 = 34 - 3
Lokacija: Zagreb

PostPostano: 6:41 sri, 24. 6. 2009    Naslov: Citirajte i odgovorite

zašto ja to ne vidim? :(((



edt.ups, sad vidim :))
zašto ja to ne vidim? Sad((



edt.ups, sad vidim Smile)


[Vrh]
Korisnički profil Pošaljite privatnu poruku
vini
Forumaš(ica)
Forumaš(ica)


Pridružen/a: 01. 09. 2006. (18:10:50)
Postovi: (9E)16
Spol: žensko
Sarma = la pohva - posuda
26 = 28 - 2

PostPostano: 21:36 sri, 24. 6. 2009    Naslov: Citirajte i odgovorite

Hvala!!
Hvala!!


[Vrh]
Korisnički profil Pošaljite privatnu poruku Pošaljite e-mail
Prethodni postovi:   
Započnite novu temu   Odgovorite na temu   printer-friendly view    Forum@DeGiorgi: Početna -> Kolegiji 3. godine -> Kompleksna analiza Vremenska zona: GMT + 01:00.
Stranica 1 / 1.

 
Forum(o)Bir:  
Možete otvarati nove teme.
Možete odgovarati na postove.
Ne možete uređivati Vaše postove.
Ne možete izbrisati Vaše postove.
Ne možete glasovati u anketama.
You can attach files in this forum
You can download files in this forum


Powered by phpBB © 2001, 2002 phpBB Group
Theme created by Vjacheslav Trushkin
HR (Cro) by Ančica Sečan