Search
 
 
  Engleski
 
 
 
Open in this window (click to change)
Forum@DeGiorgi: Početna
Forum za podršku nastavi na PMF-MO
Login Registracija FAQ Smajlići Članstvo Pretražnik Forum@DeGiorgi: Početna

Tok funkcije (zadatak)

Moja sarma
 
Započnite novu temu   Odgovorite na temu   printer-friendly view    Forum@DeGiorgi: Početna -> Kolegiji siročići (oni koji nemaju svoj podforum) -> Matematički kolegiji
Prethodna tema :: Sljedeća tema  
Autor/ica Poruka
Ammex
Forumaš(ica)
Forumaš(ica)


Pridružen/a: 19. 08. 2009. (08:18:28)
Postovi: (22)16
Sarma = la pohva - posuda
= 0 - 0

PostPostano: 19:24 ned, 22. 11. 2009    Naslov: Tok funkcije Citirajte i odgovorite

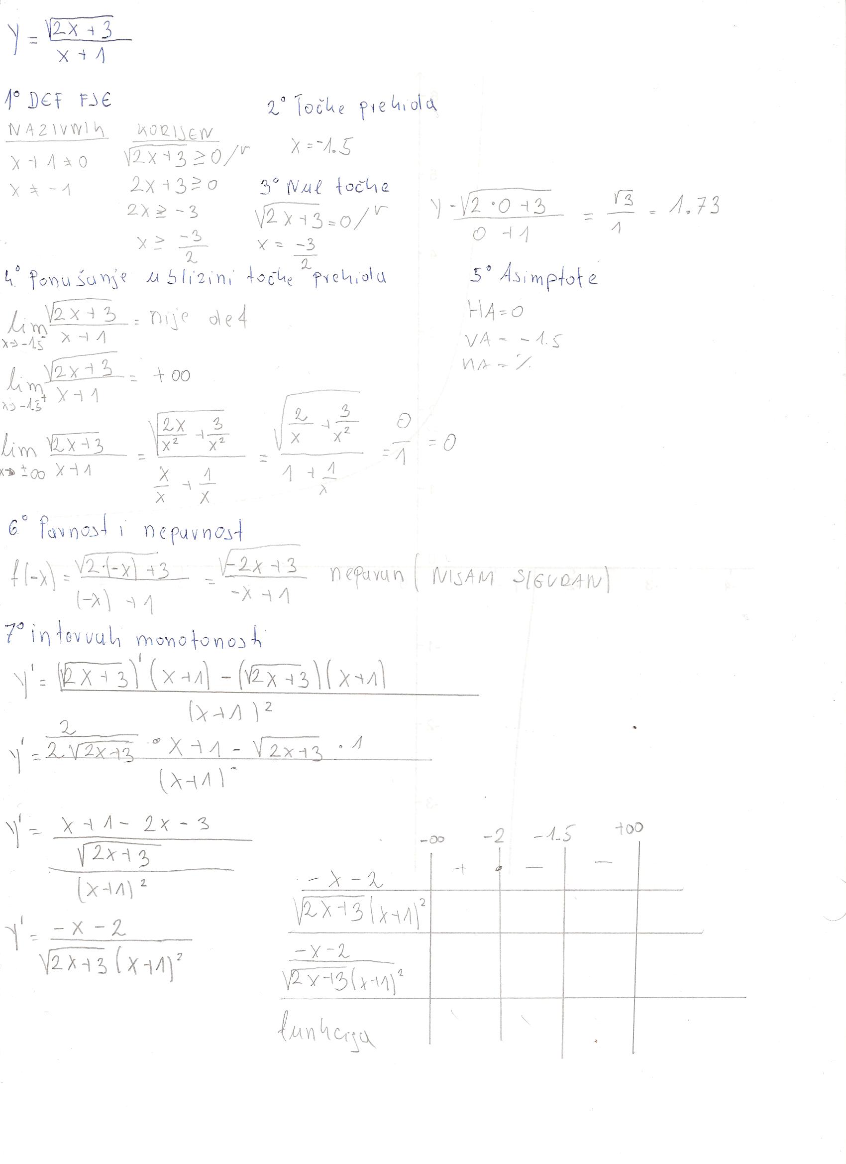
Ako mi može neko provjerit i dovršit tablicu.
Ako mi može neko provjerit i dovršit tablicu.





Picturem 002.jpg
 Description:
 Filesize:  174.42 KB
 Viewed:  148 Time(s)

Picturem 002.jpg


[Vrh]
Korisnički profil Pošaljite privatnu poruku
goranm
Forumaš(ica)
Forumaš(ica)


Pridružen/a: 12. 11. 2002. (20:09:12)
Postovi: (906)16
Spol: kućni ljubimac
Sarma = la pohva - posuda
218 = 249 - 31

PostPostano: 1:27 pon, 23. 11. 2009    Naslov: Citirajte i odgovorite

Pa, to u drugom redu u tablici je pozitivno svugdje gdje je definirano.

S obzirom da ti je [latex]\sqrt{2x+3}[/latex] definiran na [latex]\left[-\frac{3}{2},\infty\right\rangle[/latex], tablicu ne trebaš gledati od -oo do -2 do -1.5 do +oo, dovoljno je od -1.5 do +oo.

U 6. nisi pokazao neparnost i kod 1. nije bitno da je [latex]\sqrt{2x+3}[/latex] veći od ili jednak nuli nego da je 2x+3 veći od ili jednak nuli.
Pa, to u drugom redu u tablici je pozitivno svugdje gdje je definirano.

S obzirom da ti je definiran na , tablicu ne trebaš gledati od -oo do -2 do -1.5 do +oo, dovoljno je od -1.5 do +oo.

U 6. nisi pokazao neparnost i kod 1. nije bitno da je veći od ili jednak nuli nego da je 2x+3 veći od ili jednak nuli.



_________________
The Dude Abides
[Vrh]
Korisnički profil Pošaljite privatnu poruku Pošaljite e-mail
Ammex
Forumaš(ica)
Forumaš(ica)


Pridružen/a: 19. 08. 2009. (08:18:28)
Postovi: (22)16
Sarma = la pohva - posuda
= 0 - 0

PostPostano: 9:33 pon, 23. 11. 2009    Naslov: Citirajte i odgovorite

Jeli to znači da funkcija pada od -1,5 do +00.
I to je to.
A 6 nije ni paran ni nepran.
A limesi su mi uredu jeli tako?
Jeli to znači da funkcija pada od -1,5 do +00.
I to je to.
A 6 nije ni paran ni nepran.
A limesi su mi uredu jeli tako?


[Vrh]
Korisnički profil Pošaljite privatnu poruku
goranm
Forumaš(ica)
Forumaš(ica)


Pridružen/a: 12. 11. 2002. (20:09:12)
Postovi: (906)16
Spol: kućni ljubimac
Sarma = la pohva - posuda
218 = 249 - 31

PostPostano: 13:58 pon, 23. 11. 2009    Naslov: Citirajte i odgovorite

[quote="Ammex"]Jeli to znači da funkcija pada od -1,5 do +00.
I to je to.
A 6 nije ni paran ni nepran.
A limesi su mi uredu jeli tako?[/quote]
Da, to je to. Točnije, pada na [latex]\left[-\frac{3}{2},-1\right\rangle \cup \left\langle -1,+\infty\right\rangle[/latex] jer u -1 nije definirana.

Sad tek vidim; točka prekida nije -1.5 nego -1 pa limese koje si radio treba promatrati kada x -> -1 jer kako se funkcija ponaša u -1.5 znaš, to je f(-1.5).
Ammex (napisa):
Jeli to znači da funkcija pada od -1,5 do +00.
I to je to.
A 6 nije ni paran ni nepran.
A limesi su mi uredu jeli tako?

Da, to je to. Točnije, pada na jer u -1 nije definirana.

Sad tek vidim; točka prekida nije -1.5 nego -1 pa limese koje si radio treba promatrati kada x → -1 jer kako se funkcija ponaša u -1.5 znaš, to je f(-1.5).



_________________
The Dude Abides
[Vrh]
Korisnički profil Pošaljite privatnu poruku Pošaljite e-mail
Prethodni postovi:   
Započnite novu temu   Odgovorite na temu   printer-friendly view    Forum@DeGiorgi: Početna -> Kolegiji siročići (oni koji nemaju svoj podforum) -> Matematički kolegiji Vremenska zona: GMT + 01:00.
Stranica 1 / 1.

 
Forum(o)Bir:  
Ne možete otvarati nove teme.
Možete odgovarati na postove.
Ne možete uređivati Vaše postove.
Ne možete izbrisati Vaše postove.
Ne možete glasovati u anketama.
You cannot attach files in this forum
You can download files in this forum


Powered by phpBB © 2001, 2002 phpBB Group
Theme created by Vjacheslav Trushkin
HR (Cro) by Ančica Sečan