Search
 
 
  Engleski
 
 
 
Open in this window (click to change)
Forum@DeGiorgi: Početna
Forum za podršku nastavi na PMF-MO
Login Registracija FAQ Smajlići Članstvo Pretražnik Forum@DeGiorgi: Početna

ferrarijeva metoda

Moja sarma
 
Započnite novu temu   Odgovorite na temu   printer-friendly view    Forum@DeGiorgi: Početna -> Kolegiji siročići (oni koji nemaju svoj podforum) -> Matematički kolegiji
Prethodna tema :: Sljedeća tema  
Autor/ica Poruka
ana1986
Forumaš(ica)
Forumaš(ica)


Pridružen/a: 16. 09. 2009. (17:24:01)
Postovi: (F)16
Sarma = la pohva - posuda
= 1 - 1

PostPostano: 17:09 pon, 6. 9. 2010    Naslov: ferrarijeva metoda Citirajte i odgovorite

jel mi netko moze pomoc ovo rj...dodjem do pola i dalje ne ide....
ferrarijevom metodom rijesi jednandzbu..
7x^4 + 42x^3 + 84x^2 + 42 x– 35 = 0
tj.kad smanjim na treci stupanj i trebam uoptrijebiti cardanovu formulu dobijem kupus...........
jel mi netko moze pomoc ovo rj...dodjem do pola i dalje ne ide....
ferrarijevom metodom rijesi jednandzbu..
7x^4 + 42x^3 + 84x^2 + 42 x– 35 = 0
tj.kad smanjim na treci stupanj i trebam uoptrijebiti cardanovu formulu dobijem kupus...........


[Vrh]
Korisnički profil Pošaljite privatnu poruku
kenny
Petica iz zalaganja
Petica iz zalaganja


Pridružen/a: 28. 03. 2003. (09:18:36)
Postovi: (3B7)16
Spol: kućni ljubimac
Sarma = la pohva - posuda
43 = 94 - 51
Lokacija: ...somewhere over the rainbow...

PostPostano: 21:46 pon, 6. 9. 2010    Naslov: Citirajte i odgovorite

Idemo za početak normirati jdbu:

[latex]x^4 + 6x^3 +12x^2 +7x -5=0[/latex]

Podsjetimo se da Ferrarijevom rezolventom nazivamo jednadžbu [latex](ay-c)^2 - 4 \left(\frac{a^2}{4}-b+2y\right)(y^2-d)=0[/latex], gdje je [latex]a = 6, b = 12, c = 7, d = -5[/latex].

Rezolventa normirane jdbe je:

[latex](6y-7)^2 - 4 \left(\frac{6^2}{4}-12+2y\right)(y^2+5)=0[/latex]

Odnosno:

[latex]-8 y^3+48 y^2-124 y+109 = 0[/latex]

Ovo riješiš Cardanovom formulom i dobiješ jedno realno rješenje koje potom uvrstiš u Ferrarijev rastav. Imat ćeš neke razlike kvadrata, faktoritiraš....i na kraju dobiješ 4 rješenja...
Idemo za početak normirati jdbu:



Podsjetimo se da Ferrarijevom rezolventom nazivamo jednadžbu , gdje je .

Rezolventa normirane jdbe je:



Odnosno:



Ovo riješiš Cardanovom formulom i dobiješ jedno realno rješenje koje potom uvrstiš u Ferrarijev rastav. Imat ćeš neke razlike kvadrata, faktoritiraš....i na kraju dobiješ 4 rješenja...



_________________
Dvije stvari su beskonacne: svemir i ljudska glupost. Za ono prvo nisam siguran.

by A.Einstein
[Vrh]
Korisnički profil Pošaljite privatnu poruku
ana1986
Forumaš(ica)
Forumaš(ica)


Pridružen/a: 16. 09. 2009. (17:24:01)
Postovi: (F)16
Sarma = la pohva - posuda
= 1 - 1

PostPostano: 19:01 uto, 7. 9. 2010    Naslov: Citirajte i odgovorite

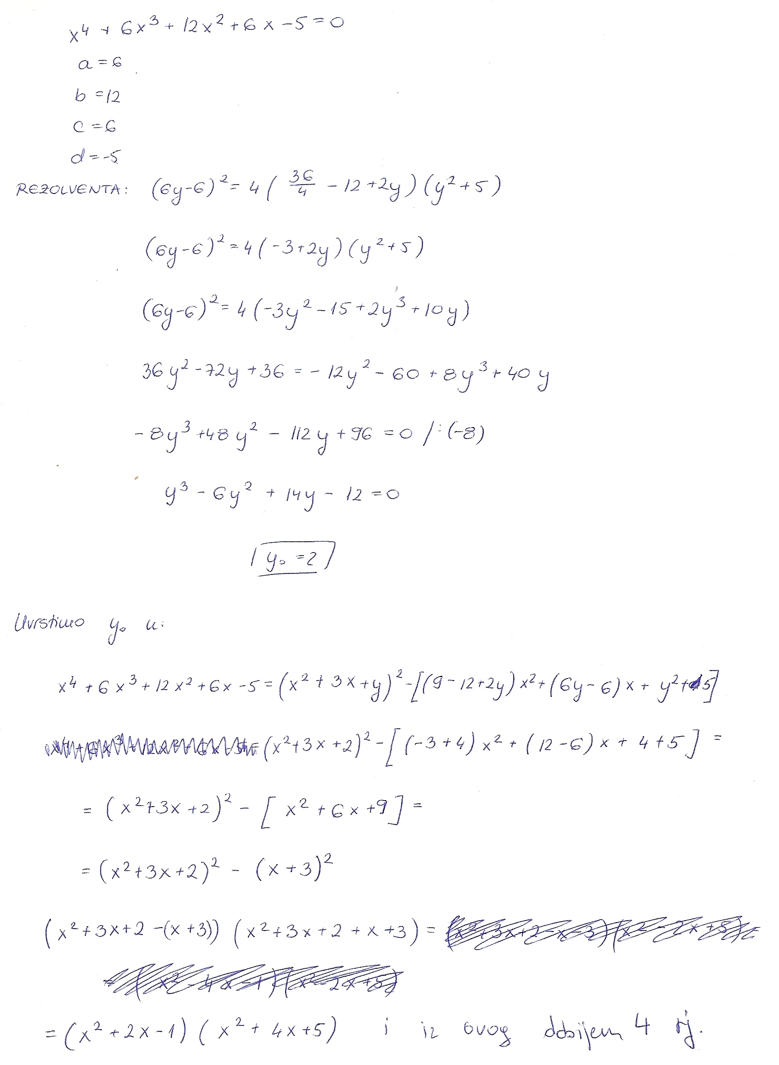
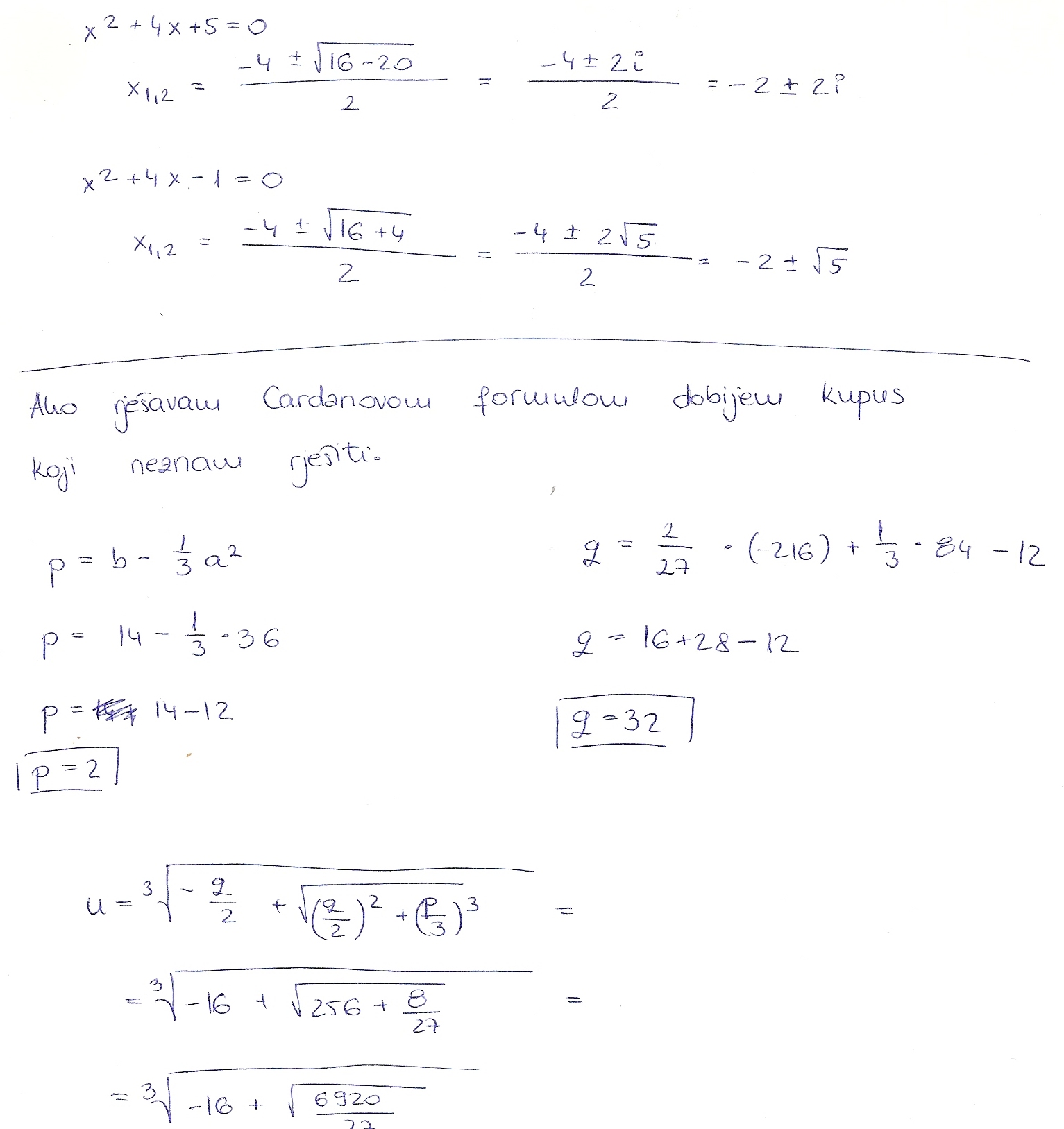
ejjj...ovako sam ja rj al ne ide....a ti si krivo normira....pa jel mos pogledat i vidit gdje sam zapela
ejjj...ovako sam ja rj al ne ide....a ti si krivo normira....pa jel mos pogledat i vidit gdje sam zapela





scan0008.jpg
 Description:
 Filesize:  451.6 KB
 Viewed:  330 Time(s)

scan0008.jpg



scan0009.jpg
 Description:
 Filesize:  299.67 KB
 Viewed:  295 Time(s)

scan0009.jpg


[Vrh]
Korisnički profil Pošaljite privatnu poruku
kenny
Petica iz zalaganja
Petica iz zalaganja


Pridružen/a: 28. 03. 2003. (09:18:36)
Postovi: (3B7)16
Spol: kućni ljubimac
Sarma = la pohva - posuda
43 = 94 - 51
Lokacija: ...somewhere over the rainbow...

PostPostano: 20:01 uto, 7. 9. 2010    Naslov: Citirajte i odgovorite

Da, ja sam krivo normirao. :oops: Tako mi i treba kad rješavam direktno tu, a ne prvo sa strane na papir. :oops:

Nisam sad detaljno gledao, ali sam vidio da si krivo rješila jedan dio: [latex]x_{1, 2} = -2 \pm i[/latex], a ne [latex]x_{1, 2} = -2 \pm 2i[/latex].

Ostatak ću ti pogledati čim stignem, obećavam!
Da, ja sam krivo normirao. Embarassed Tako mi i treba kad rješavam direktno tu, a ne prvo sa strane na papir. Embarassed

Nisam sad detaljno gledao, ali sam vidio da si krivo rješila jedan dio: , a ne .

Ostatak ću ti pogledati čim stignem, obećavam!



_________________
Dvije stvari su beskonacne: svemir i ljudska glupost. Za ono prvo nisam siguran.

by A.Einstein
[Vrh]
Korisnički profil Pošaljite privatnu poruku
ana1986
Forumaš(ica)
Forumaš(ica)


Pridružen/a: 16. 09. 2009. (17:24:01)
Postovi: (F)16
Sarma = la pohva - posuda
= 1 - 1

PostPostano: 20:34 uto, 7. 9. 2010    Naslov: Citirajte i odgovorite

mi jedan drugog ispravljamo :-)

i jel mi mos pogledat gdje sam zapela s cardanovom formulom???

i puno ti hvala :-)))))))
mi jedan drugog ispravljamo Smile

i jel mi mos pogledat gdje sam zapela s cardanovom formulom???

i puno ti hvala Smile))))))


[Vrh]
Korisnički profil Pošaljite privatnu poruku
ana1986
Forumaš(ica)
Forumaš(ica)


Pridružen/a: 16. 09. 2009. (17:24:01)
Postovi: (F)16
Sarma = la pohva - posuda
= 1 - 1

PostPostano: 14:14 čet, 9. 9. 2010    Naslov: Citirajte i odgovorite

rjesila sam...nesto sam krivo zbrajala :-((((
rjesila sam...nesto sam krivo zbrajala Sad(((


[Vrh]
Korisnički profil Pošaljite privatnu poruku
sandra
Forumaš(ica)
Forumaš(ica)


Pridružen/a: 14. 11. 2010. (21:52:30)
Postovi: (1)16
Sarma = la pohva - posuda
= 0 - 0

PostPostano: 22:15 ned, 14. 11. 2010    Naslov: Citirajte i odgovorite

Molim pomoć oko ovog zadatka:
x^4+5x^3+22x^2+49x-17=0
Davno sam to ucila, vec i zaboravila, ali prateci korake dodjem do jednadžbe trećeg stupnja koju ne mogu riješiti. Pomagajte
Molim pomoć oko ovog zadatka:
x^4+5x^3+22x^2+49x-17=0
Davno sam to ucila, vec i zaboravila, ali prateci korake dodjem do jednadžbe trećeg stupnja koju ne mogu riješiti. Pomagajte


[Vrh]
Korisnički profil Pošaljite privatnu poruku
Prethodni postovi:   
Započnite novu temu   Odgovorite na temu   printer-friendly view    Forum@DeGiorgi: Početna -> Kolegiji siročići (oni koji nemaju svoj podforum) -> Matematički kolegiji Vremenska zona: GMT + 01:00.
Stranica 1 / 1.

 
Forum(o)Bir:  
Ne možete otvarati nove teme.
Možete odgovarati na postove.
Ne možete uređivati Vaše postove.
Ne možete izbrisati Vaše postove.
Ne možete glasovati u anketama.
You cannot attach files in this forum
You can download files in this forum


Powered by phpBB © 2001, 2002 phpBB Group
Theme created by Vjacheslav Trushkin
HR (Cro) by Ančica Sečan