Search
 
 
  Engleski
 
 
 
Open in this window (click to change)
Forum@DeGiorgi: Početna
Forum za podršku nastavi na PMF-MO
Login Registracija FAQ Smajlići Članstvo Pretražnik Forum@DeGiorgi: Početna

dokaz FUI-a (objasnjenje gradiva)
WWW:

Moja sarma
 
Započnite novu temu   Odgovorite na temu   printer-friendly view    Forum@DeGiorgi: Početna -> Kolegiji 2. godine -> Diskretna matematika
Prethodna tema :: Sljedeća tema  
Autor/ica Poruka
xcv
Forumaš(ica)
Forumaš(ica)


Pridružen/a: 03. 06. 2015. (23:02:20)
Postovi: (3)16
Sarma = la pohva - posuda
= 0 - 0

PostPostano: 12:31 sub, 19. 3. 2016    Naslov: dokaz FUI-a Citirajte i odgovorite

Trebalo bi mi objašnjenje dokaza. Treba me provest kroz oznake, objasniti što se događa
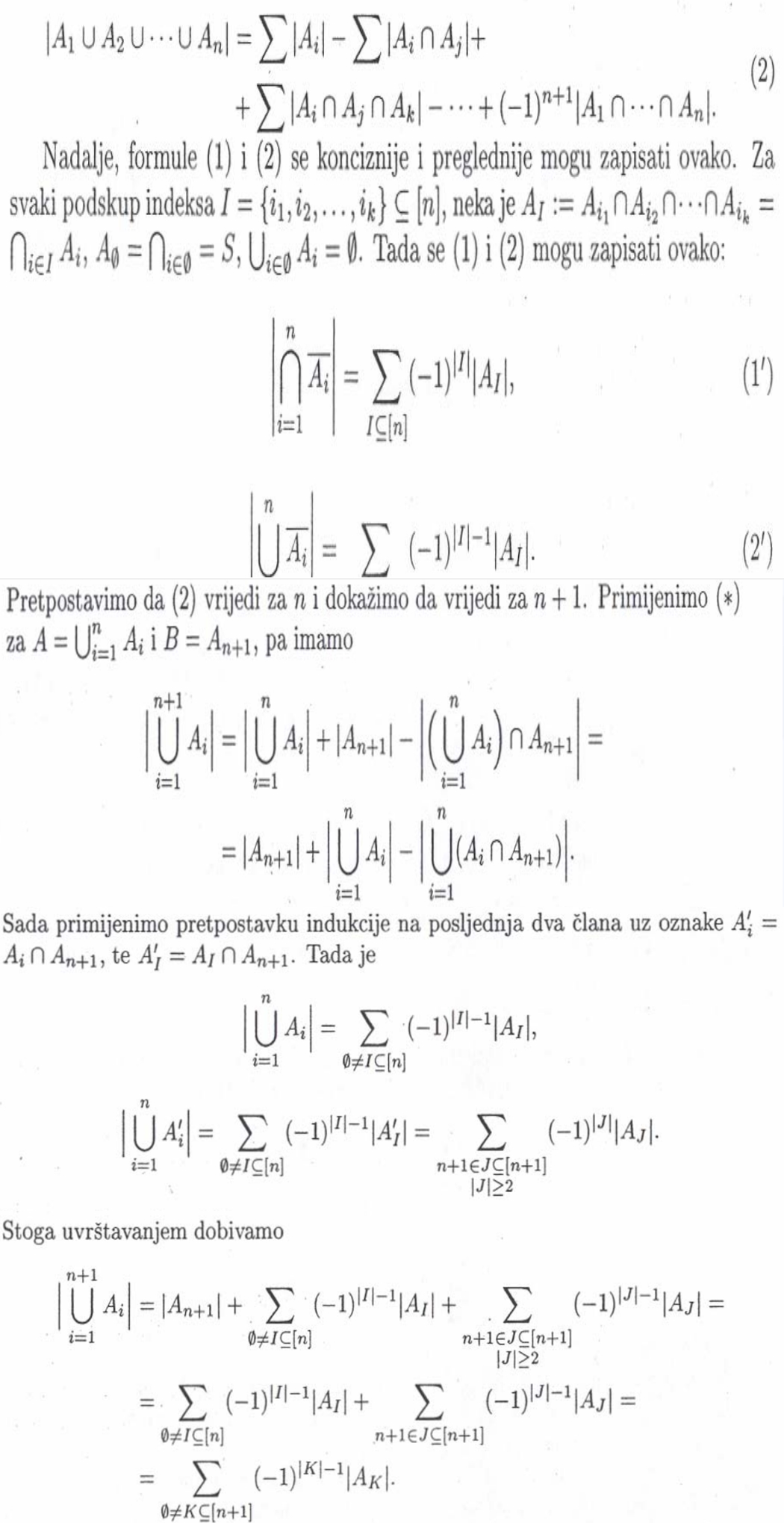
Dokazi su u privitku. fui je iz veljana, a fui2 iz neke skripte.
Trebalo bi mi objašnjenje dokaza. Treba me provest kroz oznake, objasniti što se događa
Dokazi su u privitku. fui je iz veljana, a fui2 iz neke skripte.





fui2.jpg
 Description:
2.verzija dokaza
 Filesize:  83.82 KB
 Viewed:  463 Time(s)

fui2.jpg



fui.jpg
 Description:
neki dijelovi su preskočeni kao baza indukcije...
 Filesize:  459.69 KB
 Viewed:  405 Time(s)

fui.jpg


[Vrh]
Korisnički profil Pošaljite privatnu poruku
Prethodni postovi:   
Započnite novu temu   Odgovorite na temu   printer-friendly view    Forum@DeGiorgi: Početna -> Kolegiji 2. godine -> Diskretna matematika Vremenska zona: GMT + 01:00.
Stranica 1 / 1.

 
Forum(o)Bir:  
Ne možete otvarati nove teme.
Ne možete odgovarati na postove.
Ne možete uređivati Vaše postove.
Ne možete izbrisati Vaše postove.
Ne možete glasovati u anketama.
You can attach files in this forum
You can download files in this forum


Powered by phpBB © 2001, 2002 phpBB Group
Theme created by Vjacheslav Trushkin
HR (Cro) by Ančica Sečan