| Prethodna tema :: Sljedeća tema |
| Autor/ica |
Poruka |
gm Forumaš(ica)

Pridružen/a: 15. 06. 2007. (15:43:22) Postovi: (9)16
|
|
| [Vrh] |
|
mdoko Forumaš(ica)


Pridružen/a: 30. 11. 2002. (22:17:12) Postovi: (71A)16
Spol: 
Lokacija: Heriot-Watt University, Edinburgh
|
Postano: 10:26 pon, 18. 6. 2007 Naslov: |
|
|
|
Trenutno nemam Mathematicu pri ruci, ali evo koda koji to rjesava:
[code:1]
Solve[{(a*d*(1+c+g)*(1+f))/(c*f)==0.199802,
(-f*(1+c+g)+6*c*f-c*(1+f))/(c*f)==0.904846,
(-3*f*(1+c+g)+g*d*(1+f)+11*c*f+(1+c+g)*(1+f)-3*c*(1+f))/(c*f)==1.311236,
(3*g*d*(1+f)-f*(1+c+g)+6*c*f-c*(1+f))/(c*f)==0.636025,
(g*d*(1+f)+c*f)/(c*f)==0.224181,
a+b==1, d+e==1},
{a,b,c,d,e,f,g}]
[/code:1]
Ako ti treba numericko rjesenje (a cini se da ti treba), onda umjesto [tt]Solve[/tt] koristi funkciju [tt]NSolve[/tt].
Trenutno nemam Mathematicu pri ruci, ali evo koda koji to rjesava:
| Kod: |
Solve[{(a*d*(1+c+g)*(1+f))/(c*f)==0.199802,
(-f*(1+c+g)+6*c*f-c*(1+f))/(c*f)==0.904846,
(-3*f*(1+c+g)+g*d*(1+f)+11*c*f+(1+c+g)*(1+f)-3*c*(1+f))/(c*f)==1.311236,
(3*g*d*(1+f)-f*(1+c+g)+6*c*f-c*(1+f))/(c*f)==0.636025,
(g*d*(1+f)+c*f)/(c*f)==0.224181,
a+b==1, d+e==1},
{a,b,c,d,e,f,g}]
|
Ako ti treba numericko rjesenje (a cini se da ti treba), onda umjesto Solve koristi funkciju NSolve.
_________________ Extraordinary claims require extraordinary evidence. – Carl Sagan
|
|
| [Vrh] |
|
gm Forumaš(ica)

Pridružen/a: 15. 06. 2007. (15:43:22) Postovi: (9)16
|
Postano: 12:00 pon, 18. 6. 2007 Naslov: |
|
|
|
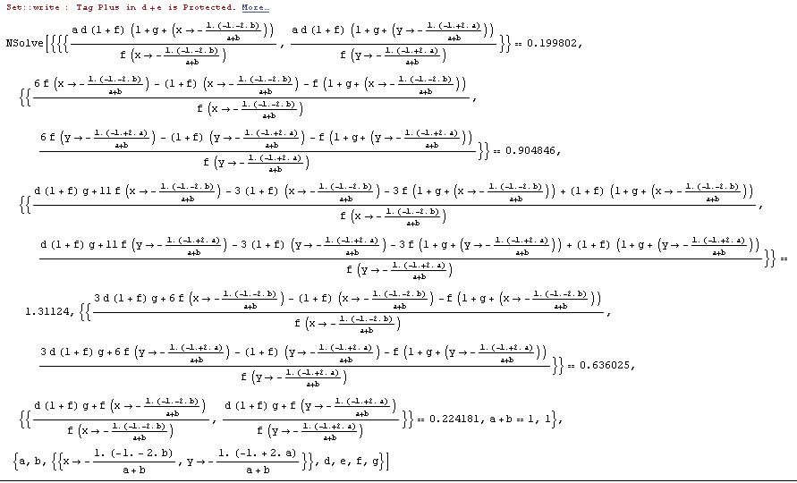
Naredbom
NSolve[{(a*d*(
1 + c + g)*(1 + f))/(c*f) == 0.199802, (-f*(1 + c + g) + 6*c*f - c*(1 +
f))/(c*f) == 0.904846, (-3*f*(1 + c + g) + g*d*(1 + f) + 11*c*f + (1 +
c + g)*(1 + f) - 3*c*(1 + f))/(c*f) == 1.311236, (3*g*d*(1 +
f) - f*(1 + c + g) + 6*c*f - c*(1 + f))/(c*f) == 0.636025, (g*d*(1 +
f) + c*f)/(c*f) == 0.224181, a + b == 1, d + e = 1}, {a, b,
c, d, e, f, g}]
dobijem slijedeće:
Naredbom
NSolve[{(a*d*(
1 + c + g)*(1 + f))/(c*f) == 0.199802, (-f*(1 + c + g) + 6*c*f - c*(1 +
f))/(c*f) == 0.904846, (-3*f*(1 + c + g) + g*d*(1 + f) + 11*c*f + (1 +
c + g)*(1 + f) - 3*c*(1 + f))/(c*f) == 1.311236, (3*g*d*(1 +
f) - f*(1 + c + g) + 6*c*f - c*(1 + f))/(c*f) == 0.636025, (g*d*(1 +
f) + c*f)/(c*f) == 0.224181, a + b == 1, d + e = 1}, {a, b,
c, d, e, f, g}]
dobijem slijedeće:
| Description: |
|
| Filesize: |
80.23 KB |
| Viewed: |
218 Time(s) |

|
|
|
| [Vrh] |
|
rat in a cage Forumaš(ica)


Pridružen/a: 25. 11. 2004. (21:45:48) Postovi: (22C)16
Lokacija: Zg
|
|
| [Vrh] |
|
gm Forumaš(ica)

Pridružen/a: 15. 06. 2007. (15:43:22) Postovi: (9)16
|
Postano: 13:27 pon, 18. 6. 2007 Naslov: |
|
|
|
[quote="rat in a cage"]to je zato jer ti piše d+e=1 a ne d+e==1, = je pridruživanje vrijednosti.[/quote]
Da to sam zaboravio napisat.
Ali sada kada sam to ispravio kao rješenje mi je ponudio praznu vitičastu zagradu.Šta to znači?
| rat in a cage (napisa): | | to je zato jer ti piše d+e=1 a ne d+e==1, = je pridruživanje vrijednosti. |
Da to sam zaboravio napisat.
Ali sada kada sam to ispravio kao rješenje mi je ponudio praznu vitičastu zagradu.Šta to znači?
| Description: |
|
| Filesize: |
27.98 KB |
| Viewed: |
173 Time(s) |

|
|
|
| [Vrh] |
|
Melkor Forumaš(ica)


Pridružen/a: 07. 10. 2004. (18:48:00) Postovi: (291)16
Spol: 
Lokacija: Void
|
|
| [Vrh] |
|
gm Forumaš(ica)

Pridružen/a: 15. 06. 2007. (15:43:22) Postovi: (9)16
|
|
| [Vrh] |
|
jabejaz en Gost
|
|
| [Vrh] |
|
Melkor Forumaš(ica)


Pridružen/a: 07. 10. 2004. (18:48:00) Postovi: (291)16
Spol: 
Lokacija: Void
|
|
| [Vrh] |
|
ING Gost
|
|
| [Vrh] |
|
jabejaz en Gost
|
|
| [Vrh] |
|
krcko Forumaš nagrađen za životno djelo


Pridružen/a: 07. 10. 2002. (15:57:59) Postovi: (18B3)16
|
|
| [Vrh] |
|
Melkor Forumaš(ica)


Pridružen/a: 07. 10. 2004. (18:48:00) Postovi: (291)16
Spol: 
Lokacija: Void
|
|
| [Vrh] |
|
ING Gost
|
Postano: 14:04 pon, 9. 7. 2007 Naslov: Za Krcka |
|
|
|
[quote="krcko"][quote="Melkor"]Ne isplati se. Za ovakve stvari Mathematica je dovoljno pouzdana. Ako ne vjeruješ, raspisuj sam. ;)[/quote]
Not quite. Desavalo mi se da pogrijesi i kod simbolickog rjesavanja jednadzbi (kaze da nema rjesenja a ima ih). NSolve radi numericki i sasvim sigurno ga se moze natjerati da pogrijesi. Ne tvrdim da u ovom konkretnom slucaju ima rjesenja :)[/quote]
Recimo ako imamo sustav:
f(x,y)=0
g(x,y)=0
Ako su f i g konačni [b]polinomi[/b] dvije varijable,jednakog stupnja, kojom metodom možemo odrediti egzisteniciju broja [b]realnih[/b] rješenja?
Da su f i g bilo kakve druge divljačke funkcije ne bih pitao jer vjerojatno nema.However,to važna i duboka pitanja koja su me oduvijek zanimala.
Recimo za polinome n-tog stupnja (jedne varijable) imamo Sturmov teorem koji definitivno moze odgovoriti na to pitanje.
Meni treba nešto poput Sturma samo za polinomijalni sustav 2 sa 2.
Volio bih da Krcko ,koji se sigurno :) susretao sa takvim pitanjima,
uputi me na korisnu literaturu ili kakav URL.
Ako treba mogu navesti primjere za gornji sustav gdje sam 100% siguran
da ima samo jedno rjesenje.Ali sta to vrijedi kad ne mogu to rigorozno
dokazat... :(
| krcko (napisa): | | Melkor (napisa): | Ne isplati se. Za ovakve stvari Mathematica je dovoljno pouzdana. Ako ne vjeruješ, raspisuj sam.  |
Not quite. Desavalo mi se da pogrijesi i kod simbolickog rjesavanja jednadzbi (kaze da nema rjesenja a ima ih). NSolve radi numericki i sasvim sigurno ga se moze natjerati da pogrijesi. Ne tvrdim da u ovom konkretnom slucaju ima rjesenja  |
Recimo ako imamo sustav:
f(x,y)=0
g(x,y)=0
Ako su f i g konačni polinomi dvije varijable,jednakog stupnja, kojom metodom možemo odrediti egzisteniciju broja realnih rješenja?
Da su f i g bilo kakve druge divljačke funkcije ne bih pitao jer vjerojatno nema.However,to važna i duboka pitanja koja su me oduvijek zanimala.
Recimo za polinome n-tog stupnja (jedne varijable) imamo Sturmov teorem koji definitivno moze odgovoriti na to pitanje.
Meni treba nešto poput Sturma samo za polinomijalni sustav 2 sa 2.
Volio bih da Krcko ,koji se sigurno susretao sa takvim pitanjima,
uputi me na korisnu literaturu ili kakav URL.
Ako treba mogu navesti primjere za gornji sustav gdje sam 100% siguran
da ima samo jedno rjesenje.Ali sta to vrijedi kad ne mogu to rigorozno
dokazat...
|
|
| [Vrh] |
|
Smith Forumaš(ica)


Pridružen/a: 30. 10. 2004. (23:30:23) Postovi: (178)16
Spol: 
Lokacija: {Tamo Gore}^{TM}
|
|
| [Vrh] |
|
tp Forumaš(ica)

Pridružen/a: 05. 12. 2005. (16:46:01) Postovi: (1F2)16
|
Postano: 17:22 uto, 10. 7. 2007 Naslov: Re: Za Krcka |
|
|
|
[quote="ING"]
Recimo ako imamo sustav:
f(x,y)=0
g(x,y)=0
Ako su f i g konačni [b]polinomi[/b] dvije varijable,jednakog stupnja, kojom metodom možemo odrediti egzisteniciju broja [b]realnih[/b] rješenja?
[/quote]
Mozda ti [url=http://tinyurl.com/2uhugr]ovo[/url] pomogne.
Jedan nacin na koji mozes rijesiti ovaj problem s dva polinoma je da izracunas rezultantu od f i g po varijabli x, time dobivas polinom u y koji se ponistava ako i samo ako sustav f=g=0 ima rjesenje. Onda nadjes korijene tog polinoma i uvrstis nazad u f npr. Vidi vise o tome u [url=http://www.springer.com/cda/content/document/cda_downloaddocument/9780387207339-c2.pdf?SGWID=0-0-45-151583-p20208755]trecem poglavlju[/url] knjige Using Algebraic Geometry. Ako ti se ne da citati o tome (iako je jako lijepo pisano), mozes doci sutra u srijedu 11.7.2007. u 10:15 u predavaonu 201 gdje cu nesto reci o tome na [url=http://web.math.hr/~duje/seminar.html]Seminaru za teoriju brojeva i algebru[/url].
| ING (napisa): |
Recimo ako imamo sustav:
f(x,y)=0
g(x,y)=0
Ako su f i g konačni polinomi dvije varijable,jednakog stupnja, kojom metodom možemo odrediti egzisteniciju broja realnih rješenja?
|
Mozda ti ovo pomogne.
Jedan nacin na koji mozes rijesiti ovaj problem s dva polinoma je da izracunas rezultantu od f i g po varijabli x, time dobivas polinom u y koji se ponistava ako i samo ako sustav f=g=0 ima rjesenje. Onda nadjes korijene tog polinoma i uvrstis nazad u f npr. Vidi vise o tome u trecem poglavlju knjige Using Algebraic Geometry. Ako ti se ne da citati o tome (iako je jako lijepo pisano), mozes doci sutra u srijedu 11.7.2007. u 10:15 u predavaonu 201 gdje cu nesto reci o tome na Seminaru za teoriju brojeva i algebru.
|
|
| [Vrh] |
|
i.n.g Gost
|
Postano: 15:18 sri, 11. 7. 2007 Naslov: |
|
|
|
Hvala lijepa tp:
Baš sam baksuzan .
Internet mi crkavao jutros,a kad je proradio bilo već 13 h,pa nisam vidio vašu poruku. :evil: Da sam je vidio ranije sigurno bih dosao na seminar! :x
Mene zanimaju presjeci algebarskih krivulja:
[latex]C_1=f(x,y)=0\\ C_2=g(x,y)=0[/latex]u [latex]\mathbb{R}^2[/latex],gdje su f i g polinomi.
Pručiti ću malo ovaj materijal koji ste dali , da vidim kako sa mojim primjerima sustava -da li mogu nešto izvući.
Nisu baš jednostavni (iako na prvi pogled tako djeluju)
Ako ne pomogne mogu li skoknut do vas na PMF ovih dana?
Samo recite koji dan/mjesto/vrijeme.
Zvonko
Hvala lijepa tp:
Baš sam baksuzan .
Internet mi crkavao jutros,a kad je proradio bilo već 13 h,pa nisam vidio vašu poruku. Da sam je vidio ranije sigurno bih dosao na seminar!
Mene zanimaju presjeci algebarskih krivulja:
u ,gdje su f i g polinomi.
Pručiti ću malo ovaj materijal koji ste dali , da vidim kako sa mojim primjerima sustava -da li mogu nešto izvući.
Nisu baš jednostavni (iako na prvi pogled tako djeluju)
Ako ne pomogne mogu li skoknut do vas na PMF ovih dana?
Samo recite koji dan/mjesto/vrijeme.
Zvonko
|
|
| [Vrh] |
|
tp Forumaš(ica)

Pridružen/a: 05. 12. 2005. (16:46:01) Postovi: (1F2)16
|
|
| [Vrh] |
|
|