Search
 
 
  Engleski
 
 
 
Open in this window (click to change)
Forum@DeGiorgi: Početna
Forum za podršku nastavi na PMF-MO
Login Registracija FAQ Smajlići Članstvo Pretražnik Forum@DeGiorgi: Početna

Sylvestrova formula
WWW:

Moja sarma
 
Započnite novu temu   Odgovorite na temu   printer-friendly view    Forum@DeGiorgi: Početna -> Kolegiji 2. godine -> Vjerojatnost
Prethodna tema :: Sljedeća tema  
Autor/ica Poruka
Insomnia_:)
Forumaš(ica)
Forumaš(ica)


Pridružen/a: 10. 03. 2007. (14:29:55)
Postovi: (5)16
Sarma = la pohva - posuda
= 0 - 0

PostPostano: 14:33 sub, 10. 3. 2007    Naslov: Sylvestrova formula Citirajte i odgovorite

Molim Vas je li netko može napisati Sylvestrov teorem i dokaz.
Ne mogu nigdje naći. Unaprijed zahvaljujem.
Molim Vas je li netko može napisati Sylvestrov teorem i dokaz.
Ne mogu nigdje naći. Unaprijed zahvaljujem.


[Vrh]
Korisnički profil Pošaljite privatnu poruku
jakov
Forumaš(ica)
Forumaš(ica)


Pridružen/a: 30. 08. 2006. (20:03:41)
Postovi: (47)16
Spol: muško
Sarma = la pohva - posuda
= 8 - 0
Lokacija: evo me doma

PostPostano: 16:05 sub, 10. 3. 2007    Naslov: Citirajte i odgovorite

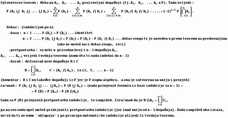
Bilježnica mi je ostala u Zagrebu, ali mislim da bi trebalo ovako nekako ići. Ako nešto nije jasno, viči. Pisano ti je u mathematici.
Bilježnica mi je ostala u Zagrebu, ali mislim da bi trebalo ovako nekako ići. Ako nešto nije jasno, viči. Pisano ti je u mathematici.





Sylvester.gif
 Description:
 Filesize:  10.12 KB
 Viewed:  495 Time(s)

Sylvester.gif




Zadnja promjena: jakov; 19:57 sub, 10. 3. 2007; ukupno mijenjano 3 put/a.
[Vrh]
Korisnički profil Pošaljite privatnu poruku
Mr.Doe
Forumaš(ica)
Forumaš(ica)


Pridružen/a: 11. 01. 2005. (21:20:57)
Postovi: (21A)16
Sarma = la pohva - posuda
20 = 50 - 30

PostPostano: 16:30 sub, 10. 3. 2007    Naslov: Citirajte i odgovorite

Nije ti dobro. Pogledaj za n=2.
[latex]\displaystyle |A_1\cup A_2 | = \sum_{k=1}^{2}|A_k|-\sum_{1\leq i,j \leq 2}|A_i \cap A_j| [/latex] . Prva suma nije sporna, te je tocna, no pogledaj drugu sumu (raspisati cu je) [latex]\displaystyle |A_1 \cap A_2| + |A_2 \cap A_1|=2|A_1 \cap A_2| [/latex] (izbacio sam predznak),sto ocito nije tocno. Dakle , trebalo bi biti [latex]\displaystyle \sum_{k<j}|A_k \cap A_j| [/latex],pa slicno i u svakoj drugoj sumi (osim prve! ).
Nije ti dobro. Pogledaj za n=2.
. Prva suma nije sporna, te je tocna, no pogledaj drugu sumu (raspisati cu je) (izbacio sam predznak),sto ocito nije tocno. Dakle , trebalo bi biti ,pa slicno i u svakoj drugoj sumi (osim prve! ).


[Vrh]
Korisnički profil Pošaljite privatnu poruku
jakov
Forumaš(ica)
Forumaš(ica)


Pridružen/a: 30. 08. 2006. (20:03:41)
Postovi: (47)16
Spol: muško
Sarma = la pohva - posuda
= 8 - 0
Lokacija: evo me doma

PostPostano: 20:00 sub, 10. 3. 2007    Naslov: Citirajte i odgovorite

Ispričavam se, tako je, u pravu si. Pisao sam ga onako, po sjećanju više tako da je još dobro i ispalo. Hvala za primjedbu. Popravio sam attachment, ako nešto još nije u redu...
Ispričavam se, tako je, u pravu si. Pisao sam ga onako, po sjećanju više tako da je još dobro i ispalo. Hvala za primjedbu. Popravio sam attachment, ako nešto još nije u redu...


[Vrh]
Korisnički profil Pošaljite privatnu poruku
Mr.Doe
Forumaš(ica)
Forumaš(ica)


Pridružen/a: 11. 01. 2005. (21:20:57)
Postovi: (21A)16
Sarma = la pohva - posuda
20 = 50 - 30

PostPostano: 13:53 ned, 11. 3. 2007    Naslov: Citirajte i odgovorite

[quote="jakov"]Ispričavam se, tako je, u pravu si. Pisao sam ga onako, po sjećanju više tako da je još dobro i ispalo. Hvala za primjedbu. Popravio sam attachment, ako nešto još nije u redu...[/quote]

Cudi me da nisi primjetio da ja nisam dobro (do kraja ) napisao :shock:,ali nije bila tolika pogreska,poanta je bila,da je bilo nekoliko gresaka . No,ispricavam se trebalo je pisati (kod druge sume) :[latex]2|A_1 \cap A_2|+|A_1|+|A_2|[/latex] . (ne znam sta mi je,stalno sam zbunjen :roll: )
jakov (napisa):
Ispričavam se, tako je, u pravu si. Pisao sam ga onako, po sjećanju više tako da je još dobro i ispalo. Hvala za primjedbu. Popravio sam attachment, ako nešto još nije u redu...


Cudi me da nisi primjetio da ja nisam dobro (do kraja ) napisao Shocked,ali nije bila tolika pogreska,poanta je bila,da je bilo nekoliko gresaka . No,ispricavam se trebalo je pisati (kod druge sume) : . (ne znam sta mi je,stalno sam zbunjen Rolling Eyes )


[Vrh]
Korisnički profil Pošaljite privatnu poruku
Insomnia_:)
Forumaš(ica)
Forumaš(ica)


Pridružen/a: 10. 03. 2007. (14:29:55)
Postovi: (5)16
Sarma = la pohva - posuda
= 0 - 0

PostPostano: 15:12 ned, 11. 3. 2007    Naslov: Citirajte i odgovorite

I jel na kraju u sad točno?
Jel sve ispravljeno ili ima još grešaka?
I jel na kraju u sad točno?
Jel sve ispravljeno ili ima još grešaka?


[Vrh]
Korisnički profil Pošaljite privatnu poruku
Prethodni postovi:   
Započnite novu temu   Odgovorite na temu   printer-friendly view    Forum@DeGiorgi: Početna -> Kolegiji 2. godine -> Vjerojatnost Vremenska zona: GMT + 01:00.
Stranica 1 / 1.

 
Forum(o)Bir:  
Ne možete otvarati nove teme.
Ne možete odgovarati na postove.
Ne možete uređivati Vaše postove.
Ne možete izbrisati Vaše postove.
Ne možete glasovati u anketama.
You can attach files in this forum
You can download files in this forum


Powered by phpBB © 2001, 2002 phpBB Group
Theme created by Vjacheslav Trushkin
HR (Cro) by Ančica Sečan