Prethodna tema :: Sljedeća tema |
Autor/ica |
Poruka |
mnince Forumaš(ica)

Pridružen/a: 27. 10. 2007. (17:48:57) Postovi: (D2)16
|
|
[Vrh] |
|
ronnie10 Forumaš(ica)


Pridružen/a: 08. 05. 2006. (15:32:40) Postovi: (1D)16
Spol: 
Lokacija: Bangladesh
|
|
[Vrh] |
|
pssst Forumaš(ica)

Pridružen/a: 13. 02. 2007. (18:09:32) Postovi: (4C)16
|
|
[Vrh] |
|
pssst Forumaš(ica)

Pridružen/a: 13. 02. 2007. (18:09:32) Postovi: (4C)16
|
|
[Vrh] |
|
alen Forumaš(ica)


Pridružen/a: 14. 10. 2005. (23:25:58) Postovi: (221)16
|
Postano: 17:04 čet, 1. 5. 2008 Naslov: |
|
|
Navodno:
1. Definiraj poluprsten, prrsten, algebru, sigma algebru, i pokazi njihove međuodnose. Primjer.
2. Konstruiraj funkciju na P^1 t.d. mjera( <a,b])=b-a i pokazi da je sigma aditivna
3. isto na E^1
4. isto na P^d
5. isto na E^d
6. Definiraj vanjsku mjeru i daj primjer
7. Zadana je sigma aditivna funkcija na prstenu. Konstuiraj vanjsku mjeru i pokazi da zadovoljava aksiome
8. Charateodoryev teorem i dokaz (mora bit jasna struktura i međutvrdnje - neke tehnicke stvari mozemo izostavit)
9. Osnovni teorem o proširenju sigma aditivne funkcije na prsrten i dokaz
10. Hanov teorem i dokaz
11. Definicija familije Borel. i Lebes. skupova na R
12. Definiraj Lebes. mjeru na skupu B(R^d)
13. Napisite svojstva Lebes. mjere na B(R^d) za d=l pokazite inv. na translaciju
14. Karakt. mjera na (R, B(R))
Navodno:
1. Definiraj poluprsten, prrsten, algebru, sigma algebru, i pokazi njihove međuodnose. Primjer.
2. Konstruiraj funkciju na P^1 t.d. mjera( <a,b])=b-a i pokazi da je sigma aditivna
3. isto na E^1
4. isto na P^d
5. isto na E^d
6. Definiraj vanjsku mjeru i daj primjer
7. Zadana je sigma aditivna funkcija na prstenu. Konstuiraj vanjsku mjeru i pokazi da zadovoljava aksiome
8. Charateodoryev teorem i dokaz (mora bit jasna struktura i međutvrdnje - neke tehnicke stvari mozemo izostavit)
9. Osnovni teorem o proširenju sigma aditivne funkcije na prsrten i dokaz
10. Hanov teorem i dokaz
11. Definicija familije Borel. i Lebes. skupova na R
12. Definiraj Lebes. mjeru na skupu B(R^d)
13. Napisite svojstva Lebes. mjere na B(R^d) za d=l pokazite inv. na translaciju
14. Karakt. mjera na (R, B(R))
_________________ Između ostalog, mislim da bi kolegij mjera i integral trebao imati svoj podforum među kolegijima treće godine
|
|
[Vrh] |
|
mnince Forumaš(ica)

Pridružen/a: 27. 10. 2007. (17:48:57) Postovi: (D2)16
|
|
[Vrh] |
|
Gost
|
|
[Vrh] |
|
mnince Forumaš(ica)

Pridružen/a: 27. 10. 2007. (17:48:57) Postovi: (D2)16
|
|
[Vrh] |
|
konfjuzd Forumaš(ica)

Pridružen/a: 05. 11. 2008. (01:02:51) Postovi: (3D)16
|
|
[Vrh] |
|
greda5 Forumaš(ica)

Pridružen/a: 17. 04. 2009. (19:38:11) Postovi: (26)16
|
|
[Vrh] |
|
konfjuzd Forumaš(ica)

Pridružen/a: 05. 11. 2008. (01:02:51) Postovi: (3D)16
|
|
[Vrh] |
|
shumi1 Forumaš(ica)


Pridružen/a: 04. 11. 2005. (20:28:04) Postovi: (9F)16
Spol: 
|
|
[Vrh] |
|
tihana Forumaš(ica)


Pridružen/a: 19. 06. 2006. (13:26:54) Postovi: (30D)16
Spol: 
Lokacija: Zagreb
|
|
[Vrh] |
|
sorrow Forumaš(ica)


Pridružen/a: 08. 11. 2005. (23:01:29) Postovi: (24D)16
Spol: 
Lokacija: ...na otoku srece...
|
|
[Vrh] |
|
tihana Forumaš(ica)


Pridružen/a: 19. 06. 2006. (13:26:54) Postovi: (30D)16
Spol: 
Lokacija: Zagreb
|
|
[Vrh] |
|
woodstock Forumaš(ica)


Pridružen/a: 10. 11. 2006. (23:52:04) Postovi: (99)16
Spol: 
|
Postano: 10:42 sri, 29. 4. 2009 Naslov: |
|
|
možeš napisat koji je to teorem? (bar početak) jer su nam oznake drugačije...
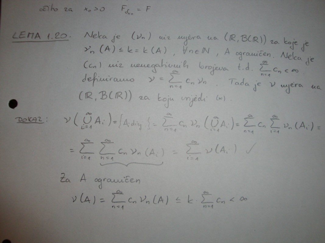
grupa [A,M] je došla dalje, radili smo zadnje izmjerive funkcije u R i zadnje je lema 2.11. koja tvrdi da za f € M+(X,F) postoji niz fi_n u M(X,F) td. vrijede 3 svojstva...
tek toliko za orijentir...u kolokvij valjda ulazi gradivo grupe [N,Ž]
možeš napisat koji je to teorem? (bar početak) jer su nam oznake drugačije...
grupa [A,M] je došla dalje, radili smo zadnje izmjerive funkcije u R i zadnje je lema 2.11. koja tvrdi da za f € M+(X,F) postoji niz fi_n u M(X,F) td. vrijede 3 svojstva...
tek toliko za orijentir...u kolokvij valjda ulazi gradivo grupe [N,Ž]
|
|
[Vrh] |
|
andreao Forumaš(ica)


Pridružen/a: 10. 02. 2005. (12:08:18) Postovi: (46F)16
Lokacija: SK
|
|
[Vrh] |
|
ma Forumaš(ica)


Pridružen/a: 27. 01. 2007. (12:06:50) Postovi: (347)16
Spol: 
|
|
[Vrh] |
|
|