| Prethodna tema :: Sljedeća tema |
| Autor/ica |
Poruka |
amorphis Forumaš(ica)


Pridružen/a: 10. 02. 2007. (23:15:13) Postovi: (101)16
Lokacija: zg
|
|
| [Vrh] |
|
desire Forumaš(ica)


Pridružen/a: 06. 09. 2007. (07:46:21) Postovi: (133)16
Spol: 
|
|
| [Vrh] |
|
Luuka Forumaš(ica)


Pridružen/a: 13. 02. 2007. (20:34:54) Postovi: (925)16
Spol: 
Lokacija: Hakuna Matata
|
|
| [Vrh] |
|
desire Forumaš(ica)


Pridružen/a: 06. 09. 2007. (07:46:21) Postovi: (133)16
Spol: 
|
|
| [Vrh] |
|
Luuka Forumaš(ica)


Pridružen/a: 13. 02. 2007. (20:34:54) Postovi: (925)16
Spol: 
Lokacija: Hakuna Matata
|
Postano: 13:03 ned, 4. 11. 2007 Naslov: |
|
|
|
Nisam... :oops:
tnx...
a i 3. sam ispravio, rješenje mi je 11214.
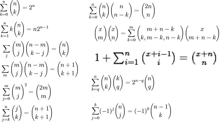
a evo stavih i par formula za bin koeficijent, nek se nađe...
Nisam...
tnx...
a i 3. sam ispravio, rješenje mi je 11214.
a evo stavih i par formula za bin koeficijent, nek se nađe...
_________________ "Bolje bi prolazio na faxu da sam na drogama nego na netu" - by a friend of mine
"Poslije spavanja doma spavanje bilo di mi je najdraža stvar" - by the same guy 
| Description: |
|
| Filesize: |
36.79 KB |
| Viewed: |
589 Time(s) |

|
|
|
| [Vrh] |
|
desire Forumaš(ica)


Pridružen/a: 06. 09. 2007. (07:46:21) Postovi: (133)16
Spol: 
|
|
| [Vrh] |
|
Luuka Forumaš(ica)


Pridružen/a: 13. 02. 2007. (20:34:54) Postovi: (925)16
Spol: 
Lokacija: Hakuna Matata
|
|
| [Vrh] |
|
vsego Site Admin


Pridružen/a: 06. 10. 2002. (22:07:09) Postovi: (3562)16
Spol: 
Lokacija: /sbin/init
|
|
| [Vrh] |
|
Luuka Forumaš(ica)


Pridružen/a: 13. 02. 2007. (20:34:54) Postovi: (925)16
Spol: 
Lokacija: Hakuna Matata
|
|
| [Vrh] |
|
desire Forumaš(ica)


Pridružen/a: 06. 09. 2007. (07:46:21) Postovi: (133)16
Spol: 
|
Postano: 13:50 ned, 4. 11. 2007 Naslov: |
|
|
|
[quote="Luuka"][quote="desire"]
1. [latex]\frac {3^m-1}{2} [/latex] [/quote]
Otkud taj -1? Ja dobih ko ti, al samo (3^m)/2
[/quote]
Oduzela sam slucaj kada su [latex]\mathbf{X}_1[/latex] i [latex]\mathbf{X}_2[/latex] jednaki jer tada se ne dobiva dvoclani skup, nego jednoclani tj. [latex]\mathbf{X}_1=\mathbf{X}_2=\mathbf{A}[/latex], a to nam ne odgovara.
[quote="Luuka"]
A ispravih se, novo rj mi je 11[b]21[/b]4 :lol:[/quote]
Khm, ja imam 11[b]12[/b]4. :lol:
Idem vidjet u cem je problem, sad stvarno. :)
| Luuka (napisa): | | desire (napisa): |
1. |
Otkud taj -1? Ja dobih ko ti, al samo (3^m)/2
|
Oduzela sam slucaj kada su i jednaki jer tada se ne dobiva dvoclani skup, nego jednoclani tj. , a to nam ne odgovara.
| Luuka (napisa): |
A ispravih se, novo rj mi je 11214  |
Khm, ja imam 11124.
Idem vidjet u cem je problem, sad stvarno.
|
|
| [Vrh] |
|
Luuka Forumaš(ica)


Pridružen/a: 13. 02. 2007. (20:34:54) Postovi: (925)16
Spol: 
Lokacija: Hakuna Matata
|
|
| [Vrh] |
|
desire Forumaš(ica)


Pridružen/a: 06. 09. 2007. (07:46:21) Postovi: (133)16
Spol: 
|
|
| [Vrh] |
|
Feanor Forumaš(ica)


Pridružen/a: 15. 11. 2005. (18:18:15) Postovi: (27)16
Spol: 
Lokacija: Zagreb/Bjelovar
|
|
| [Vrh] |
|
vsego Site Admin


Pridružen/a: 06. 10. 2002. (22:07:09) Postovi: (3562)16
Spol: 
Lokacija: /sbin/init
|
|
| [Vrh] |
|
Luuka Forumaš(ica)


Pridružen/a: 13. 02. 2007. (20:34:54) Postovi: (925)16
Spol: 
Lokacija: Hakuna Matata
|
Postano: 15:20 ned, 4. 11. 2007 Naslov: |
|
|
|
[quote="desire"]Oduzela sam slucaj kada su [latex]\mathbf{X}_1[/latex] i [latex]\mathbf{X}_2[/latex] jednaki jer tada se ne dobiva dvoclani skup, nego jednoclani tj. [latex]\mathbf{X}_1=\mathbf{X}_2=\mathbf{A}[/latex], a to nam ne odgovara.[/quote]
Da li od ovog oduzeti još 2 slučaja, kad je jedan od njih prazan skup? Da li nam odgovaraju slučajevi {A,0} i {0,A} ?
Ja mislim da nam odgovaraju ta 2...
| desire (napisa): | Oduzela sam slucaj kada su i jednaki jer tada se ne dobiva dvoclani skup, nego jednoclani tj. , a to nam ne odgovara. |
Da li od ovog oduzeti još 2 slučaja, kad je jedan od njih prazan skup? Da li nam odgovaraju slučajevi {A,0} i {0,A} ?
Ja mislim da nam odgovaraju ta 2...
_________________ "Bolje bi prolazio na faxu da sam na drogama nego na netu" - by a friend of mine
"Poslije spavanja doma spavanje bilo di mi je najdraža stvar" - by the same guy 
|
|
| [Vrh] |
|
ma Forumaš(ica)


Pridružen/a: 27. 01. 2007. (12:06:50) Postovi: (347)16
Spol: 
|
|
| [Vrh] |
|
Luuka Forumaš(ica)


Pridružen/a: 13. 02. 2007. (20:34:54) Postovi: (925)16
Spol: 
Lokacija: Hakuna Matata
|
|
| [Vrh] |
|
ma Forumaš(ica)


Pridružen/a: 27. 01. 2007. (12:06:50) Postovi: (347)16
Spol: 
|
|
| [Vrh] |
|
vsego Site Admin


Pridružen/a: 06. 10. 2002. (22:07:09) Postovi: (3562)16
Spol: 
Lokacija: /sbin/init
|
Postano: 16:38 ned, 4. 11. 2007 Naslov: |
|
|
|
Evo, ja i racunski dobio (za treci): 9*5*(9*3*(8+1)+4/2*9)+9=11754 8) Posto asistenti ne reagiraju na rjesenja i objasnjenja ovdje, pretpostavit cu da smijem objasniti:
Dakle: prva znamenka moze biti 1-9, i barem jedna od preostalih 5 mora biti jednaka. :arrow: 9*5
Gledamo prvu od preostalih 4:[list=1][*] Mogu biti razlicite od ove prve (ima 9 kandidata, jer ukljucujemo nulu, a iskljucujemo prvu)
U tom slucaju jedna od preostale 3 mora biti jednaka toj znamenci. :arrow: 9*3
Preostale dvije mogu biti (obje!) ili razlicite od ove zadnje gledane (8 kandidata) ili jednake (tocno jedan kandidat)
:arrow: 8+1
[*]Moze biti jos jedna koja je jednaka prvoj. :) To je jedna od preostale 4, ali treba uzeti u obzir da tako brojimo dva puta isto (npr. 2. i 3. znamenku i 3. i 2. znamenku), pa dijelimo s 2 :arrow: 4/2
Ostaje jos rijesiti ostale tri znamenke, no te mogu biti samo sve jednake :arrow: 9[/list:o]Zadnji slucaj (onih zadnjih "+9") je kad su sve znamenke jednake
Kladim se da ima neki pametniji nacin; ovo je "kako mali Ivica broji". ;)
Evo, ja i racunski dobio (za treci): 9*5*(9*3*(8+1)+4/2*9)+9=11754 Posto asistenti ne reagiraju na rjesenja i objasnjenja ovdje, pretpostavit cu da smijem objasniti:
Dakle: prva znamenka moze biti 1-9, i barem jedna od preostalih 5 mora biti jednaka. 9*5
Gledamo prvu od preostalih 4:- Mogu biti razlicite od ove prve (ima 9 kandidata, jer ukljucujemo nulu, a iskljucujemo prvu)
U tom slucaju jedna od preostale 3 mora biti jednaka toj znamenci. 9*3
Preostale dvije mogu biti (obje!) ili razlicite od ove zadnje gledane (8 kandidata) ili jednake (tocno jedan kandidat)
8+1
- Moze biti jos jedna koja je jednaka prvoj.
To je jedna od preostale 4, ali treba uzeti u obzir da tako brojimo dva puta isto (npr. 2. i 3. znamenku i 3. i 2. znamenku), pa dijelimo s 2 4/2
Ostaje jos rijesiti ostale tri znamenke, no te mogu biti samo sve jednake 9 Zadnji slucaj (onih zadnjih "+9") je kad su sve znamenke jednake
Kladim se da ima neki pametniji nacin; ovo je "kako mali Ivica broji".
_________________ U pravilu ignoriram pitanja u krivim topicima i kodove koji nisu u [code]...[/code] blokovima.
Takodjer, OBJASNITE sto vas muci! "Sto mi je krivo?", bez opisa u cemu je problem, rijetko ce zadobiti moju paznju. 
|
|
| [Vrh] |
|
Luuka Forumaš(ica)


Pridružen/a: 13. 02. 2007. (20:34:54) Postovi: (925)16
Spol: 
Lokacija: Hakuna Matata
|
Postano: 17:09 ned, 4. 11. 2007 Naslov: |
|
|
|
Ja sam to na 4 slučajeva: (nap (x|y)=x povrh y)
1. sve zn jednake -> 9
2. a) 2 zn se pojavljuju svaka 3x, nema nule -> (9|2)* 6!/(3!3!)
b) ima nule -> 9*5!/(3!2!) (fixiramo onu drugu zn na 1.mjesto)
3. a) 3 zn, svaka 2x, nema nule -> (9|3)*6!/(2!2!2!)
b)3 zn, svaka 2x, ima nule-> (9|2)*(5!/(2!2!) + 5!/(2!2!)) (jer može bit prva odabrana zn fixirana na 1.mj ili druga)
4. a)2 zn, jedna 2x, druga 4x, nema nule -> (9|2)*6!/(2!4!)
b) nula 2x, nešt drugo 4x -> 9*5!/(2!3!)
c) nula 4x, nešt drugo 2x -> 9*5!/4!
Kad se sve sumira dobije se 11214
Ja sam to na 4 slučajeva: (nap (x|y)=x povrh y)
1. sve zn jednake -> 9
2. a) 2 zn se pojavljuju svaka 3x, nema nule -> (9|2)* 6!/(3!3!)
b) ima nule -> 9*5!/(3!2!) (fixiramo onu drugu zn na 1.mjesto)
3. a) 3 zn, svaka 2x, nema nule -> (9|3)*6!/(2!2!2!)
b)3 zn, svaka 2x, ima nule-> (9|2)*(5!/(2!2!) + 5!/(2!2!)) (jer može bit prva odabrana zn fixirana na 1.mj ili druga)
4. a)2 zn, jedna 2x, druga 4x, nema nule -> (9|2)*6!/(2!4!)
b) nula 2x, nešt drugo 4x -> 9*5!/(2!3!)
c) nula 4x, nešt drugo 2x -> 9*5!/4!
Kad se sve sumira dobije se 11214
_________________ "Bolje bi prolazio na faxu da sam na drogama nego na netu" - by a friend of mine
"Poslije spavanja doma spavanje bilo di mi je najdraža stvar" - by the same guy 
|
|
| [Vrh] |
|
|