Search
 
 
  Engleski
 
 
 
Open in this window (click to change)
Forum@DeGiorgi: Početna
Forum za podršku nastavi na PMF-MO
Login Registracija FAQ Smajlići Članstvo Pretražnik Forum@DeGiorgi: Početna

broj blokova u jordanovoj formi
WWW:

Moja sarma
 
Započnite novu temu   Odgovorite na temu   printer-friendly view    Forum@DeGiorgi: Početna -> Kolegiji 3. godine -> Vektorski prostori
Prethodna tema :: Sljedeća tema  
Autor/ica Poruka
frikmen2
Forumaš(ica)
Forumaš(ica)


Pridružen/a: 04. 11. 2006. (12:12:01)
Postovi: (2B)16
Sarma = la pohva - posuda
= 5 - 3

PostPostano: 13:22 pon, 5. 2. 2007    Naslov: broj blokova u jordanovoj formi Citirajte i odgovorite

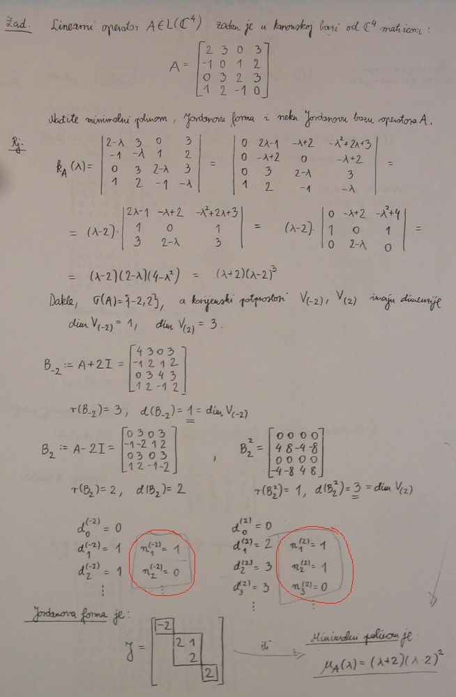
ovo je jako lagano za nekoga tko zna. ja ne znam :oops:. zadatak je u attachmentu (valjda se nitko nece ljutiti). zanima me kako se dobiju oni n-ovi koji oznacavaju koliko ima blokova određene velicine u jordanovoj formi.
ovo je jako lagano za nekoga tko zna. ja ne znam Embarassed. zadatak je u attachmentu (valjda se nitko nece ljutiti). zanima me kako se dobiju oni n-ovi koji oznacavaju koliko ima blokova određene velicine u jordanovoj formi.





Picture 002.jpg
 Description:
 Filesize:  165.94 KB
 Viewed:  317 Time(s)

Picture 002.jpg


[Vrh]
Korisnički profil Pošaljite privatnu poruku
hermione
Forumaš(ica)
Forumaš(ica)


Pridružen/a: 23. 09. 2003. (10:50:57)
Postovi: (152)16
Spol: kućni ljubimac
Sarma: -

PostPostano: 14:24 pon, 5. 2. 2007    Naslov: Re: broj blokova u jordanovoj formi Citirajte i odgovorite

[quote="frikmen2"]ovo je jako lagano za nekoga tko zna. ja ne znam :oops:. zadatak je u attachmentu (valjda se nitko nece ljutiti). zanima me kako se dobiju oni n-ovi koji oznacavaju koliko ima blokova određene velicine u jordanovoj formi.[/quote]
Broj klijetki pridruzenih skalaru [latex]\lambda_j[/latex] koje imaju dimenziju [latex]l\in\mathbb N[/latex] jednak je
[latex]n_{l}^{(\lambda_j)}=2d((A-\lambda_jI)^l)-d((A-\lambda_jI)^{l-1})-d((A-\lambda_jI)^{l+1})[/latex]
frikmen2 (napisa):
ovo je jako lagano za nekoga tko zna. ja ne znam Embarassed. zadatak je u attachmentu (valjda se nitko nece ljutiti). zanima me kako se dobiju oni n-ovi koji oznacavaju koliko ima blokova određene velicine u jordanovoj formi.

Broj klijetki pridruzenih skalaru koje imaju dimenziju jednak je



_________________
http://www.youtube.com/watch?v=SjN_4LO-5L8

U tijelu nema pravih ideala


Zadnja promjena: hermione; 23:08 uto, 6. 2. 2007; ukupno mijenjano 1 put.
[Vrh]
Korisnički profil Pošaljite privatnu poruku Pošaljite e-mail Posjetite Web stranice
e_caduc
Forumaš(ica)
Forumaš(ica)


Pridružen/a: 28. 03. 2006. (18:23:55)
Postovi: (A)16
Sarma = la pohva - posuda
= 5 - 5

PostPostano: 21:45 uto, 6. 2. 2007    Naslov: Re: broj blokova u jordanovoj formi Citirajte i odgovorite

[quote="hermione"]
Broj klijetki pridruzenih skalaru [latex]\lambda_j[/latex] koje imaju dimenziju [latex]l\in\mathbb N[/latex] jednak je
[latex]n_{l}^{(\lambda_j)}=2d((A-\lambda_jI)^l)-((A-\lambda_jI)^{l-1})-((A-\lambda_jI)^{l+1})[/latex][/quote]

Pretpostavljam da nekom kome to nije bilo jasno iz vjezbi asistenta Kovaca, nece mu biti jasno ni iz ovakvog objasnjenja.

Znaci, [latex]d_i[/latex]-evi oznacavaju defekt matrica [latex]B^i[/latex], a [latex]n_i=2d_i - d_{i-1} - d_{i+1}[/latex]
hermione (napisa):

Broj klijetki pridruzenih skalaru koje imaju dimenziju jednak je


Pretpostavljam da nekom kome to nije bilo jasno iz vjezbi asistenta Kovaca, nece mu biti jasno ni iz ovakvog objasnjenja.

Znaci, -evi oznacavaju defekt matrica , a


[Vrh]
Korisnički profil Pošaljite privatnu poruku
hermione
Forumaš(ica)
Forumaš(ica)


Pridružen/a: 23. 09. 2003. (10:50:57)
Postovi: (152)16
Spol: kućni ljubimac
Sarma: -

PostPostano: 22:38 uto, 6. 2. 2007    Naslov: Re: broj blokova u jordanovoj formi Citirajte i odgovorite

[quote="e_caduc"][quote="hermione"]
Broj klijetki pridruzenih skalaru [latex]\lambda_j[/latex] koje imaju dimenziju [latex]l\in\mathbb N[/latex] jednak je
[latex]n_{l}^{(\lambda_j)}=2d((A-\lambda_jI)^l)-d((A-\lambda_jI)^{l-1})-d((A-\lambda_jI)^{l+1})[/latex][/quote]

Pretpostavljam da nekom kome to nije bilo jasno iz vjezbi asistenta Kovaca, nece mu biti jasno ni iz ovakvog objasnjenja.

Znaci, [latex]d_i[/latex]-evi oznacavaju defekt matrica [latex]B^i[/latex], a [latex]n_i=2d_i - d_{i-1} - d_{i+1}[/latex][/quote]
Oprosti, ako nekomu to nije bilo jasno, onda bi to povlacilo da ne razumije niti gradu prije! To sto si ti napisala ekvivalentno je mojem, ali malo prizemnije samo!
e_caduc (napisa):
hermione (napisa):

Broj klijetki pridruzenih skalaru koje imaju dimenziju jednak je


Pretpostavljam da nekom kome to nije bilo jasno iz vjezbi asistenta Kovaca, nece mu biti jasno ni iz ovakvog objasnjenja.

Znaci, -evi oznacavaju defekt matrica , a

Oprosti, ako nekomu to nije bilo jasno, onda bi to povlacilo da ne razumije niti gradu prije! To sto si ti napisala ekvivalentno je mojem, ali malo prizemnije samo!



_________________
http://www.youtube.com/watch?v=SjN_4LO-5L8

U tijelu nema pravih ideala


Zadnja promjena: hermione; 23:08 uto, 6. 2. 2007; ukupno mijenjano 1 put.
[Vrh]
Korisnički profil Pošaljite privatnu poruku Pošaljite e-mail Posjetite Web stranice
e_caduc
Forumaš(ica)
Forumaš(ica)


Pridružen/a: 28. 03. 2006. (18:23:55)
Postovi: (A)16
Sarma = la pohva - posuda
= 5 - 5

PostPostano: 23:03 uto, 6. 2. 2007    Naslov: Re: broj blokova u jordanovoj formi Citirajte i odgovorite

[quote="hermione"]
Oprosti, ako nekomu to nije bilo jasno, onda bi to povlacilo da ne razumije niti gradu prije! To sto si ti napisala ekvivalentno je mojem, ali malo prizemnije samo![/quote]

Zapravo, nije ekvivaletno, jer je ono sto si ti napisala netocno.
Toliko netocno da pokazuje nerazumijevanje gradje odprije. Naime, ne radi se o matricama, nego o njihovim defektima.
hermione (napisa):

Oprosti, ako nekomu to nije bilo jasno, onda bi to povlacilo da ne razumije niti gradu prije! To sto si ti napisala ekvivalentno je mojem, ali malo prizemnije samo!


Zapravo, nije ekvivaletno, jer je ono sto si ti napisala netocno.
Toliko netocno da pokazuje nerazumijevanje gradje odprije. Naime, ne radi se o matricama, nego o njihovim defektima.


[Vrh]
Korisnički profil Pošaljite privatnu poruku
vjekovac
Forumaš(ica)
Forumaš(ica)


Pridružen/a: 23. 01. 2003. (18:26:55)
Postovi: (2DB)16
Spol: kućni ljubimac
Sarma = la pohva - posuda
182 = 198 - 16

PostPostano: 12:26 sri, 7. 2. 2007    Naslov: Citirajte i odgovorite

No dobro, dobro ljudi, smanjimo tenzije. :D

Dakle, prosto seljacki, ove d-ove i n-ove sam pisao u dva stupca bas ovako:
[latex]\begin{array}{cc}
d^{(2)}_0 = 0 & \\
d^{(2)}_1 = 2 & n^{(2)}_1=1 \\
d^{(2)}_2 = 3 & n^{(2)}_2=1 \\
d^{(2)}_3 = 3 & n^{(2)}_3=0 \\
\cdots & \cdots
\end{array}[/latex]
upravo da naglasim kako se svaki [latex]n^{(\lambda_j)}_i[/latex] dobije tako da se pomnozi s 2 broj lijevo od njega, oduzme broj iznad i oduzme broj ispod.
(To je upravo formula koju su napisale hermione i e_caduc.)
Dakle:
[code:1] -ovaj
2*ovaj
-ovaj[/code:1]
Za ovu kuharicu skoro da ne treba niti znati sto je defekt. :D
No dobro, dobro ljudi, smanjimo tenzije. Very Happy

Dakle, prosto seljacki, ove d-ove i n-ove sam pisao u dva stupca bas ovako:

upravo da naglasim kako se svaki dobije tako da se pomnozi s 2 broj lijevo od njega, oduzme broj iznad i oduzme broj ispod.
(To je upravo formula koju su napisale hermione i e_caduc.)
Dakle:
Kod:
 -ovaj
2*ovaj
 -ovaj

Za ovu kuharicu skoro da ne treba niti znati sto je defekt. Very Happy


[Vrh]
Korisnički profil Pošaljite privatnu poruku Posjetite Web stranice
frikmen2
Forumaš(ica)
Forumaš(ica)


Pridružen/a: 04. 11. 2006. (12:12:01)
Postovi: (2B)16
Sarma = la pohva - posuda
= 5 - 3

PostPostano: 18:05 sri, 7. 2. 2007    Naslov: Citirajte i odgovorite

ma skuzio sam i prvi post. znam da se nesto mnozilo s 2 i onda nesto oduzimalo... btw prosao sam pismeni danas. hvala na pomoci.
ma skuzio sam i prvi post. znam da se nesto mnozilo s 2 i onda nesto oduzimalo... btw prosao sam pismeni danas. hvala na pomoci.


[Vrh]
Korisnički profil Pošaljite privatnu poruku
Prethodni postovi:   
Započnite novu temu   Odgovorite na temu   printer-friendly view    Forum@DeGiorgi: Početna -> Kolegiji 3. godine -> Vektorski prostori Vremenska zona: GMT + 01:00.
Stranica 1 / 1.

 
Forum(o)Bir:  
Možete otvarati nove teme.
Možete odgovarati na postove.
Ne možete uređivati Vaše postove.
Ne možete izbrisati Vaše postove.
Ne možete glasovati u anketama.
You can attach files in this forum
You can download files in this forum


Powered by phpBB © 2001, 2002 phpBB Group
Theme created by Vjacheslav Trushkin
HR (Cro) by Ančica Sečan