| Prethodna tema :: Sljedeća tema   | 
	
	
	
		| Autor/ica | 
		Poruka | 
	
	
		filipnet Forumaš(ica)
  
  
  Pridružen/a: 02. 11. 2003. (01:17:46) Postovi: (399)16 
Spol:   
Lokacija: cvrsto na stolici 
		 | 
		
			
				 Postano: 10:29 uto, 26. 1. 2010    Naslov: Zadatak sa roka 01.10.2009. | 
				            | 
			 
			
				
  | 
			 
			
				| 
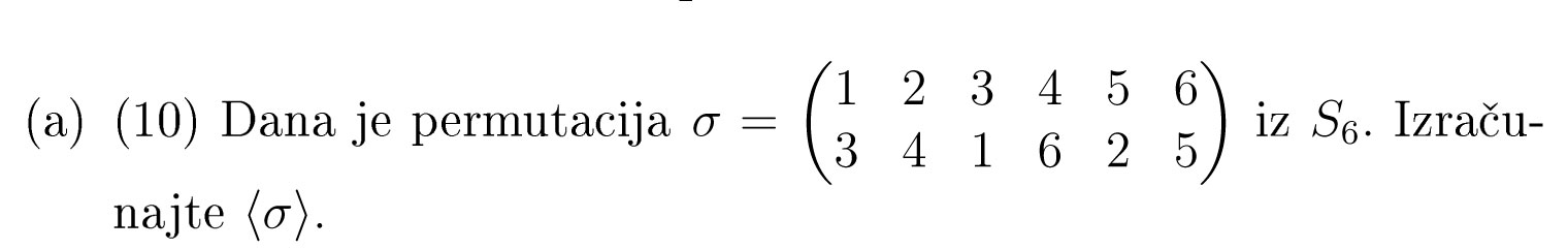
                                         Bok svima, jel mi može netko pomoći oko ovog zadatka, razbijam glavu na njemu vec par dana, znam da je nesto lagano, ali nikak da skuzim. Ja sam izracunao da je permutacija reda 4, al kak dalje? 
					
					Bok svima, jel mi može netko pomoći oko ovog zadatka, razbijam glavu na njemu vec par dana, znam da je nesto lagano, ali nikak da skuzim. Ja sam izracunao da je permutacija reda 4, al kak dalje?
					_________________    Everything happens with a reason!   
  
					
	
  
	 
	
	
		
	 
	
		|  Description: | 
		
			
		 | 
	 
	
		|  Filesize: | 
		 29.03 KB | 
	 
	
		|  Viewed: | 
		 115 Time(s) | 
	 
	
		
  
 
  | 
	 
	 
	 
					
					
				 | 
			 
		  | 
	
	
		| [Vrh] | 
		 | 
	
	
		rafaelm Forumaš(ica)
  
  
  Pridružen/a: 24. 12. 2006. (13:30:11) Postovi: (21F)16 
Spol:   
Lokacija: Zagreb 
		 | 
		
			
				 Postano: 12:14 uto, 26. 1. 2010    Naslov: Re: Zadatak sa roka 01.10.2009. | 
				            | 
			 
			
				
  | 
			 
			
				| 
                                         [quote="filipnet"]Bok svima, jel mi može netko pomoći oko ovog zadatka, razbijam glavu na njemu vec par dana, znam da je nesto lagano, ali nikak da skuzim. Ja sam izracunao da je permutacija reda 4, al kak dalje?[/quote]
 
 Ako je [latex]\sigma[/latex] permutacija reda 4, onda je [latex]\{e,\sigma,\sigma^2,\sigma^3\}[/latex] podgrupa. I ocito je najmanja podgrupa koja sadrži [latex]\sigma[/latex]. Pa je po definiciji ta podgrupa jednaka [latex]\langle\sigma\rangle[/latex]. 
					
					 	  | filipnet (napisa): | 	 		  | Bok svima, jel mi može netko pomoći oko ovog zadatka, razbijam glavu na njemu vec par dana, znam da je nesto lagano, ali nikak da skuzim. Ja sam izracunao da je permutacija reda 4, al kak dalje? | 	  
 
 
Ako je   permutacija reda 4, onda je   podgrupa. I ocito je najmanja podgrupa koja sadrži  . Pa je po definiciji ta podgrupa jednaka  .
					
 
  
					
					
					
				 | 
			 
		  | 
	
	
		| [Vrh] | 
		 | 
	
	
		filipnet Forumaš(ica)
  
  
  Pridružen/a: 02. 11. 2003. (01:17:46) Postovi: (399)16 
Spol:   
Lokacija: cvrsto na stolici 
		 | 
		
			
				 Postano: 22:30 uto, 26. 1. 2010    Naslov: Re: Zadatak sa roka 01.10.2009. | 
				            | 
			 
			
				
  | 
			 
			
				| 
                                         [quote="rafaelm"]
 
 Ako je [latex]\sigma[/latex] permutacija reda 4, onda je [latex]\{e,\sigma,\sigma^2,\sigma^3\}[/latex] podgrupa. I ocito je najmanja podgrupa koja sadrži [latex]\sigma[/latex]. Pa je po definiciji ta podgrupa jednaka [latex]\langle\sigma\rangle[/latex].[/quote]
 pretpostavljam da je e identiteta, jedino me buni, dal gledam sigme u ciklusu koji je reda 4, pa od tamo vucem ostale sigme?
 Jer u ovom primjeru, imamo dva ciklusa (1,3) i (2,4,6,5), pa bi onda sigma bio{e, 2,4,6} zar ne? 
					
					 	  | rafaelm (napisa): | 	 		  
 
 
Ako je   permutacija reda 4, onda je   podgrupa. I ocito je najmanja podgrupa koja sadrži  . Pa je po definiciji ta podgrupa jednaka  . | 	  
 
pretpostavljam da je e identiteta, jedino me buni, dal gledam sigme u ciklusu koji je reda 4, pa od tamo vucem ostale sigme?
 
Jer u ovom primjeru, imamo dva ciklusa (1,3) i (2,4,6,5), pa bi onda sigma bio{e, 2,4,6} zar ne?
					_________________    Everything happens with a reason!   
  
					
					
					
				 | 
			 
		  | 
	
	
		| [Vrh] | 
		 | 
	
	
		goranm Forumaš(ica)
  
  
  Pridružen/a: 12. 11. 2002. (20:09:12) Postovi: (906)16 
Spol:   
 
		 | 
		
			
				 Postano: 23:50 uto, 26. 1. 2010    Naslov: Re: Zadatak sa roka 01.10.2009. | 
				            | 
			 
			
				
  | 
			 
			
				| 
                                         [quote="filipnet"][quote="rafaelm"]
 
 Ako je [latex]\sigma[/latex] permutacija reda 4, onda je [latex]\{e,\sigma,\sigma^2,\sigma^3\}[/latex] podgrupa. I ocito je najmanja podgrupa koja sadrži [latex]\sigma[/latex]. Pa je po definiciji ta podgrupa jednaka [latex]\langle\sigma\rangle[/latex].[/quote]
 pretpostavljam da je e identiteta, jedino me buni, dal gledam sigme u ciklusu koji je reda 4, pa od tamo vucem ostale sigme?
 Jer u ovom primjeru, imamo dva ciklusa (1,3) i (2,4,6,5), pa bi onda sigma bio{e, 2,4,6} zar ne?[/quote]
 Ne. Sigma je samo jedna, to je ona permutacija koja ti je zadana, nema "ostalih sigma". Taj zadatak sam ja imao na pismenom i poanta je bila da se [latex]\sigma[/latex] potencira dok se ne dođe do identitete. Budući je [latex]\sigma^4=id[/latex], dovoljno je bilo napisati [latex]\left\langle\sigma\right\rangle=\{id,\sigma,\sigma^2,\sigma^3\}[/latex] i možda kratko obrazložiti zašto je to tako (nešto kao ono što je rafaelm napisao). 
					
					 	  | filipnet (napisa): | 	 		   	  | rafaelm (napisa): | 	 		  
 
 
Ako je   permutacija reda 4, onda je   podgrupa. I ocito je najmanja podgrupa koja sadrži  . Pa je po definiciji ta podgrupa jednaka  . | 	  
 
pretpostavljam da je e identiteta, jedino me buni, dal gledam sigme u ciklusu koji je reda 4, pa od tamo vucem ostale sigme?
 
Jer u ovom primjeru, imamo dva ciklusa (1,3) i (2,4,6,5), pa bi onda sigma bio{e, 2,4,6} zar ne? | 	  
 
Ne. Sigma je samo jedna, to je ona permutacija koja ti je zadana, nema "ostalih sigma". Taj zadatak sam ja imao na pismenom i poanta je bila da se   potencira dok se ne dođe do identitete. Budući je  , dovoljno je bilo napisati   i možda kratko obrazložiti zašto je to tako (nešto kao ono što je rafaelm napisao).
					
 
  _________________ The Dude Abides 
					
					
					
  Zadnja promjena: goranm; 23:53 uto, 26. 1. 2010; ukupno mijenjano 1 put.
				 | 
			 
		  | 
	
	
		| [Vrh] | 
		 | 
	
	
		rafaelm Forumaš(ica)
  
  
  Pridružen/a: 24. 12. 2006. (13:30:11) Postovi: (21F)16 
Spol:   
Lokacija: Zagreb 
		 | 
		
			
				 Postano: 23:52 uto, 26. 1. 2010    Naslov: Re: Zadatak sa roka 01.10.2009. | 
				            | 
			 
			
				
  | 
			 
			
				| 
                                         [quote="filipnet"]pretpostavljam da je e identiteta, jedino me buni, dal gledam sigme u ciklusu koji je reda 4, pa od tamo vucem ostale sigme?
 Jer u ovom primjeru, imamo dva ciklusa (1,3) i (2,4,6,5), pa bi onda sigma bio{e, 2,4,6} zar ne?[/quote]
 
 [latex]e[/latex] je identiteta. Ne shvacam baš što te muči. Grupa generirana jednim elementom je uvjek ciklička, te sastoji se od svih potencija generatora. Dakle, zadanu permutaciju [latex]\sigma[/latex] samo kvadriraš i kubiraš (dalje ne moraš jer kažeš da je reda 4). Grupa generirana sa [latex]\sigma[/latex] sastoji se od neutralnog elementa, [latex]\sigma[/latex], i potencija. 
					
					 	  | filipnet (napisa): | 	 		  pretpostavljam da je e identiteta, jedino me buni, dal gledam sigme u ciklusu koji je reda 4, pa od tamo vucem ostale sigme?
 
Jer u ovom primjeru, imamo dva ciklusa (1,3) i (2,4,6,5), pa bi onda sigma bio{e, 2,4,6} zar ne? | 	  
 
 
  je identiteta. Ne shvacam baš što te muči. Grupa generirana jednim elementom je uvjek ciklička, te sastoji se od svih potencija generatora. Dakle, zadanu permutaciju   samo kvadriraš i kubiraš (dalje ne moraš jer kažeš da je reda 4). Grupa generirana sa   sastoji se od neutralnog elementa,  , i potencija.
					
 
  
					
					
					
				 | 
			 
		  | 
	
	
		| [Vrh] | 
		 | 
	
	
		filipnet Forumaš(ica)
  
  
  Pridružen/a: 02. 11. 2003. (01:17:46) Postovi: (399)16 
Spol:   
Lokacija: cvrsto na stolici 
		 | 
		 | 
	
	
		| [Vrh] | 
		 | 
	
	
		 |