Search
 
 
  Engleski
 
 
 
Open in this window (click to change)
Forum@DeGiorgi: Početna
Forum za podršku nastavi na PMF-MO
Login Registracija FAQ Smajlići Članstvo Pretražnik Forum@DeGiorgi: Početna

2.DZ
WWW:
Idite na Prethodno  1, 2, 3, 4  Sljedeće
Moja sarma
 
Započnite novu temu   Odgovorite na temu   printer-friendly view    Forum@DeGiorgi: Početna -> Kolegiji 3. godine -> Vektorski prostori
Prethodna tema :: Sljedeća tema  
Autor/ica Poruka
Gost






PostPostano: 12:34 sri, 11. 2. 2009    Naslov: DZ2 Citirajte i odgovorite

Pa da..... Puno hvala!!!!!!!! :D :D
Pa da..... Puno hvala!!!!!!!! Very Happy Very Happy


[Vrh]
Luuka
Forumaš(ica)
Forumaš(ica)


Pridružen/a: 13. 02. 2007. (20:34:54)
Postovi: (925)16
Spol: muško
Sarma = la pohva - posuda
188 = 301 - 113
Lokacija: Hakuna Matata

PostPostano: 12:42 sri, 11. 2. 2009    Naslov: Citirajte i odgovorite

8. zad, provjera rješenja:
dobio sam
[latex]f(A)= f(0) \cdot (I-A^2)+ f'(0) \cdot A + f(1) \cdot A^2[/latex]

u attachmentu je mathematica to lijepo izmnožila :D

edit: 9.zadatak:
alfa=0, beta=k*pi, za keZ.
8. zad, provjera rješenja:
dobio sam


u attachmentu je mathematica to lijepo izmnožila Very Happy

edit: 9.zadatak:
alfa=0, beta=k*pi, za keZ.



_________________
"Bolje bi prolazio na faxu da sam na drogama nego na netu" - by a friend of mine
"Poslije spavanja doma spavanje bilo di mi je najdraža stvar" - by the same guy Very Happy



untitled.JPG
 Description:
 Filesize:  4.86 KB
 Viewed:  265 Time(s)

untitled.JPG


[Vrh]
Korisnički profil Pošaljite privatnu poruku Pošaljite e-mail
mischa
Forumaš(ica)
Forumaš(ica)


Pridružen/a: 15. 09. 2007. (17:52:41)
Postovi: (D8)16
Spol: žensko
Sarma = la pohva - posuda
= 15 - 8

PostPostano: 15:03 sri, 11. 2. 2009    Naslov: Citirajte i odgovorite

u 12. zad, kak se dobije iz f1,f2,f3 matrica A koja ima prikaz {(2,0,0),(0,2,0),(0,0,0)}?
u 12. zad, kak se dobije iz f1,f2,f3 matrica A koja ima prikaz {(2,0,0),(0,2,0),(0,0,0)}?


[Vrh]
Korisnički profil Pošaljite privatnu poruku Pošaljite e-mail
tammy
Forumaš(ica)
Forumaš(ica)


Pridružen/a: 02. 07. 2007. (20:37:10)
Postovi: (197)16
Sarma = la pohva - posuda
24 = 29 - 5

PostPostano: 15:07 sri, 11. 2. 2009    Naslov: Citirajte i odgovorite

[quote="mischa"]u 12. zad, kak se dobije iz f1,f2,f3 matrica A koja ima prikaz {(2,0,0),(0,2,0),(0,0,0)}?[/quote]

A meni se čini da bi trebalo biti {(0,0,0),(0,0,0),(0,2,0)}, ili kojim već redoslijedom, al da su dvije 0 i jedna 2?
mischa (napisa):
u 12. zad, kak se dobije iz f1,f2,f3 matrica A koja ima prikaz {(2,0,0),(0,2,0),(0,0,0)}?


A meni se čini da bi trebalo biti {(0,0,0),(0,0,0),(0,2,0)}, ili kojim već redoslijedom, al da su dvije 0 i jedna 2?


[Vrh]
Korisnički profil Pošaljite privatnu poruku
putanja
Forumaš(ica)
Forumaš(ica)


Pridružen/a: 24. 05. 2008. (19:16:10)
Postovi: (12)16
Spol: žensko
Sarma = la pohva - posuda
= 3 - 0
Lokacija: metropola

PostPostano: 15:18 sri, 11. 2. 2009    Naslov: Citirajte i odgovorite

[quote="Luuka"]8. zad, provjera rješenja:
dobio sam
[latex]f(A)= f(0) \cdot (I-A^2)+ f'(0) \cdot A + f(1) \cdot A^2[/latex]

[/quote]
ne bi li trebao p2 biti A-A^2 a ne A?
Luuka (napisa):
8. zad, provjera rješenja:
dobio sam



ne bi li trebao p2 biti A-A^2 a ne A?


[Vrh]
Korisnički profil Pošaljite privatnu poruku Pošaljite e-mail MSNM
Luuka
Forumaš(ica)
Forumaš(ica)


Pridružen/a: 13. 02. 2007. (20:34:54)
Postovi: (925)16
Spol: muško
Sarma = la pohva - posuda
188 = 301 - 113
Lokacija: Hakuna Matata

PostPostano: 15:22 sri, 11. 2. 2009    Naslov: Citirajte i odgovorite

[quote="putanja"]ne bi li trebao p2 biti A-A^2 a ne A?[/quote]

Je, ja fulo, hvala :D
putanja (napisa):
ne bi li trebao p2 biti A-A^2 a ne A?


Je, ja fulo, hvala Very Happy



_________________
"Bolje bi prolazio na faxu da sam na drogama nego na netu" - by a friend of mine
"Poslije spavanja doma spavanje bilo di mi je najdraža stvar" - by the same guy Very Happy
[Vrh]
Korisnički profil Pošaljite privatnu poruku Pošaljite e-mail
angelgr
Forumaš(ica)
Forumaš(ica)


Pridružen/a: 11. 02. 2009. (15:39:47)
Postovi: (13)16
Sarma = la pohva - posuda
11 = 11 - 0

PostPostano: 15:43 sri, 11. 2. 2009    Naslov: 2.DZ Citirajte i odgovorite

Jel može netko riješiti 9 i 12?
Hvala
Jel može netko riješiti 9 i 12?
Hvala


[Vrh]
Korisnički profil Pošaljite privatnu poruku
Luuka
Forumaš(ica)
Forumaš(ica)


Pridružen/a: 13. 02. 2007. (20:34:54)
Postovi: (925)16
Spol: muško
Sarma = la pohva - posuda
188 = 301 - 113
Lokacija: Hakuna Matata

PostPostano: 16:02 sri, 11. 2. 2009    Naslov: Citirajte i odgovorite

9. Operator je nilpotentan ako mu je 0 u spektru.
dakle, 0 mora biti u spektru od sin(alfaA + beta).
Lako se dobije da su svojst vrijednosti od A 1 i -1.

Tm o preslikavanju spektra kaže:
spektar(f(A))=f(spektar(A)).

naša f je f(x)=sin(alfax+beta).
dakle, kad iskoristimo ono sve gore dobijemo:

alfa + beta= k*pi [color=red]i[/color]
-alfa + beta =k*pi

iz čega slijedi alfa=0 i beta=k*pi.

Pitanje oko crvenog: ide li tu [color=red]i[/color] ili [color=red]ili[/color]?

Ako je i onda je ono rješenje ok (jer imaamo sustav), a ako je ili onda ima više rješenja...

EDIT: ide i, jer je u spektru nilpotentnog operatora samo 0. :D
9. Operator je nilpotentan ako mu je 0 u spektru.
dakle, 0 mora biti u spektru od sin(alfaA + beta).
Lako se dobije da su svojst vrijednosti od A 1 i -1.

Tm o preslikavanju spektra kaže:
spektar(f(A))=f(spektar(A)).

naša f je f(x)=sin(alfax+beta).
dakle, kad iskoristimo ono sve gore dobijemo:

alfa + beta= k*pi i
-alfa + beta =k*pi

iz čega slijedi alfa=0 i beta=k*pi.

Pitanje oko crvenog: ide li tu i ili ili?

Ako je i onda je ono rješenje ok (jer imaamo sustav), a ako je ili onda ima više rješenja...

EDIT: ide i, jer je u spektru nilpotentnog operatora samo 0. Very Happy



_________________
"Bolje bi prolazio na faxu da sam na drogama nego na netu" - by a friend of mine
"Poslije spavanja doma spavanje bilo di mi je najdraža stvar" - by the same guy Very Happy


Zadnja promjena: Luuka; 16:21 sri, 11. 2. 2009; ukupno mijenjano 1 put.
[Vrh]
Korisnički profil Pošaljite privatnu poruku Pošaljite e-mail
mischa
Forumaš(ica)
Forumaš(ica)


Pridružen/a: 15. 09. 2007. (17:52:41)
Postovi: (D8)16
Spol: žensko
Sarma = la pohva - posuda
= 15 - 8

PostPostano: 16:08 sri, 11. 2. 2009    Naslov: Citirajte i odgovorite

[quote="tammy"][quote="mischa"]u 12. zad, kak se dobije iz f1,f2,f3 matrica A koja ima prikaz {(2,0,0),(0,2,0),(0,0,0)}?[/quote]

A meni se čini da bi trebalo biti {(0,0,0),(0,0,0),(0,2,0)}, ili kojim već redoslijedom, al da su dvije 0 i jedna 2?[/quote]

nisam sigurna, al mi se cini da je asistentica rekla da su dvije 2, jel znas kak dobiti tu matricu?
tammy (napisa):
mischa (napisa):
u 12. zad, kak se dobije iz f1,f2,f3 matrica A koja ima prikaz {(2,0,0),(0,2,0),(0,0,0)}?


A meni se čini da bi trebalo biti {(0,0,0),(0,0,0),(0,2,0)}, ili kojim već redoslijedom, al da su dvije 0 i jedna 2?


nisam sigurna, al mi se cini da je asistentica rekla da su dvije 2, jel znas kak dobiti tu matricu?


[Vrh]
Korisnički profil Pošaljite privatnu poruku Pošaljite e-mail
Luuka
Forumaš(ica)
Forumaš(ica)


Pridružen/a: 13. 02. 2007. (20:34:54)
Postovi: (925)16
Spol: muško
Sarma = la pohva - posuda
188 = 301 - 113
Lokacija: Hakuna Matata

PostPostano: 16:11 sri, 11. 2. 2009    Naslov: Citirajte i odgovorite

jel se može u 12. nešto sa svoj vektorima? Jer znamo da su oni iz različitih sv potprostora okomiti, pa samo normiramo koje treba, a one koji su iz istog sv potprostora, tamo G-S ?
jel se može u 12. nešto sa svoj vektorima? Jer znamo da su oni iz različitih sv potprostora okomiti, pa samo normiramo koje treba, a one koji su iz istog sv potprostora, tamo G-S ?



_________________
"Bolje bi prolazio na faxu da sam na drogama nego na netu" - by a friend of mine
"Poslije spavanja doma spavanje bilo di mi je najdraža stvar" - by the same guy Very Happy
[Vrh]
Korisnički profil Pošaljite privatnu poruku Pošaljite e-mail
aauk
Forumaš(ica)
Forumaš(ica)


Pridružen/a: 18. 02. 2007. (17:11:01)
Postovi: (18)16
Sarma = la pohva - posuda
-3 = 0 - 3

PostPostano: 16:13 sri, 11. 2. 2009    Naslov: Citirajte i odgovorite

To je matrica sa svojstvenim vrijednostima na dijagonali. To vec imas tj. znas da postoji baza da A ima takav prikaz, a zelis naci tu bazu.
{f1, f2,f3} su svojstveni vektori, koje si ortonormirala, i oni cine tu bazu. (To je problem koji rjesavas, a ne trazenje te matrice)
To je matrica sa svojstvenim vrijednostima na dijagonali. To vec imas tj. znas da postoji baza da A ima takav prikaz, a zelis naci tu bazu.
{f1, f2,f3} su svojstveni vektori, koje si ortonormirala, i oni cine tu bazu. (To je problem koji rjesavas, a ne trazenje te matrice)


[Vrh]
Korisnički profil Pošaljite privatnu poruku
mischa
Forumaš(ica)
Forumaš(ica)


Pridružen/a: 15. 09. 2007. (17:52:41)
Postovi: (D8)16
Spol: žensko
Sarma = la pohva - posuda
= 15 - 8

PostPostano: 16:33 sri, 11. 2. 2009    Naslov: Citirajte i odgovorite

[quote="aauk"]To je matrica sa svojstvenim vrijednostima na dijagonali. To vec imas tj. znas da postoji baza da A ima takav prikaz, a zelis naci tu bazu.
{f1, f2,f3} su svojstveni vektori, koje si ortonormirala, i oni cine tu bazu. (To je problem koji rjesavas, a ne trazenje te matrice)[/quote]

aha.. moja greska :oops:
aauk (napisa):
To je matrica sa svojstvenim vrijednostima na dijagonali. To vec imas tj. znas da postoji baza da A ima takav prikaz, a zelis naci tu bazu.
{f1, f2,f3} su svojstveni vektori, koje si ortonormirala, i oni cine tu bazu. (To je problem koji rjesavas, a ne trazenje te matrice)


aha.. moja greska Embarassed


[Vrh]
Korisnički profil Pošaljite privatnu poruku Pošaljite e-mail
aauk
Forumaš(ica)
Forumaš(ica)


Pridružen/a: 18. 02. 2007. (17:11:01)
Postovi: (18)16
Sarma = la pohva - posuda
-3 = 0 - 3

PostPostano: 16:35 sri, 11. 2. 2009    Naslov: Citirajte i odgovorite

[quote="mischa"][quote="aauk"]To je matrica sa svojstvenim vrijednostima na dijagonali. To vec imas tj. znas da postoji baza da A ima takav prikaz, a zelis naci tu bazu.
{f1, f2,f3} su svojstveni vektori, koje si ortonormirala, i oni cine tu bazu. (To je problem koji rjesavas, a ne trazenje te matrice)[/quote]

aha.. moja greska :oops:[/quote]

Nije bed :) i meni je trebalo neko vrijeme da to shvatim.
mischa (napisa):
aauk (napisa):
To je matrica sa svojstvenim vrijednostima na dijagonali. To vec imas tj. znas da postoji baza da A ima takav prikaz, a zelis naci tu bazu.
{f1, f2,f3} su svojstveni vektori, koje si ortonormirala, i oni cine tu bazu. (To je problem koji rjesavas, a ne trazenje te matrice)


aha.. moja greska Embarassed


Nije bed Smile i meni je trebalo neko vrijeme da to shvatim.


[Vrh]
Korisnički profil Pošaljite privatnu poruku
Blah
Forumaš(ica)
Forumaš(ica)


Pridružen/a: 11. 09. 2006. (18:07:56)
Postovi: (C1)16
Spol: kućni ljubimac
Sarma = la pohva - posuda
= 9 - 8

PostPostano: 20:13 sri, 11. 2. 2009    Naslov: Citirajte i odgovorite

Ja u 12. zad dobim za
V(0)=[{(1,-1,0)}],tj. x1+x2=0,x3=0 a za
V(2)=[{(1,1,0)}],tj x1=x2,
kako se dobije 3. tj (0,0,1)?
Ja u 12. zad dobim za
V(0)=[{(1,-1,0)}],tj. x1+x2=0,x3=0 a za
V(2)=[{(1,1,0)}],tj x1=x2,
kako se dobije 3. tj (0,0,1)?


[Vrh]
Korisnički profil Pošaljite privatnu poruku
Luuka
Forumaš(ica)
Forumaš(ica)


Pridružen/a: 13. 02. 2007. (20:34:54)
Postovi: (925)16
Spol: muško
Sarma = la pohva - posuda
188 = 301 - 113
Lokacija: Hakuna Matata

PostPostano: 20:20 sri, 11. 2. 2009    Naslov: Citirajte i odgovorite

Blah, nešto si krivo... mora postojat baza sv vektora pa ti kod dvostruke sv vrijednosti mora ispast dvodim sv potprostor...
Blah, nešto si krivo... mora postojat baza sv vektora pa ti kod dvostruke sv vrijednosti mora ispast dvodim sv potprostor...



_________________
"Bolje bi prolazio na faxu da sam na drogama nego na netu" - by a friend of mine
"Poslije spavanja doma spavanje bilo di mi je najdraža stvar" - by the same guy Very Happy
[Vrh]
Korisnički profil Pošaljite privatnu poruku Pošaljite e-mail
teja
Forumaš(ica)
Forumaš(ica)


Pridružen/a: 14. 07. 2006. (15:34:28)
Postovi: (14A)16
Spol: žensko
Sarma = la pohva - posuda
29 = 35 - 6
Lokacija: zg-ma and back

PostPostano: 20:22 sri, 11. 2. 2009    Naslov: Citirajte i odgovorite

[quote="Blah"]Ja u 12. zad dobim za
V(0)=[{(1,-1,0)}],tj. x1+x2=0,x3=0 a za
V(2)=[{(1,1,0)}],tj x1=x2,
kako se dobije 3. tj (0,0,1)?[/quote]

V(2)=[{(1,1,0),(0,0,1)}] jer imaš x1=x2 a x3 je nešto
Blah (napisa):
Ja u 12. zad dobim za
V(0)=[{(1,-1,0)}],tj. x1+x2=0,x3=0 a za
V(2)=[{(1,1,0)}],tj x1=x2,
kako se dobije 3. tj (0,0,1)?


V(2)=[{(1,1,0),(0,0,1)}] jer imaš x1=x2 a x3 je nešto


[Vrh]
Korisnički profil Pošaljite privatnu poruku MSNM
Blah
Forumaš(ica)
Forumaš(ica)


Pridružen/a: 11. 09. 2006. (18:07:56)
Postovi: (C1)16
Spol: kućni ljubimac
Sarma = la pohva - posuda
= 9 - 8

PostPostano: 20:48 sri, 11. 2. 2009    Naslov: Citirajte i odgovorite

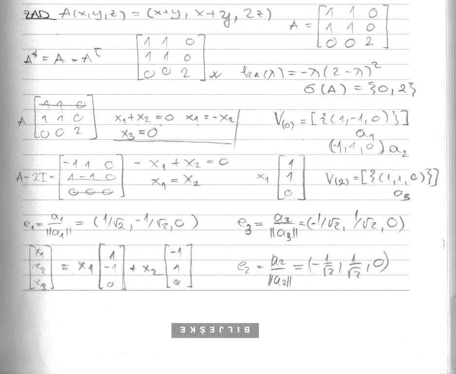
Kaj sam tu krivo?
Kaj sam tu krivo?





1.jpg
 Description:
 Filesize:  169.8 KB
 Viewed:  428 Time(s)

1.jpg


[Vrh]
Korisnički profil Pošaljite privatnu poruku
Ančica
Forumaš(ica)
Forumaš(ica)


Pridružen/a: 01. 12. 2006. (16:12:53)
Postovi: (F6)16
Spol: žensko
Sarma = la pohva - posuda
26 = 31 - 5

PostPostano: 20:52 sri, 11. 2. 2009    Naslov: Citirajte i odgovorite

Ako nisi dobio da ti je x3 =0, onda je x3 proizvoljan, i to je caka, jer je tu jos taj jedan vektor (0,0,1).
Ako nisi dobio da ti je x3 =0, onda je x3 proizvoljan, i to je caka, jer je tu jos taj jedan vektor (0,0,1).



_________________
..a jooooooj..
[Vrh]
Korisnički profil Pošaljite privatnu poruku
5ra
Forumaš(ica)
Forumaš(ica)


Pridružen/a: 13. 08. 2006. (21:34:08)
Postovi: (D5)16
Spol: žensko
Sarma = la pohva - posuda
10 = 31 - 21

PostPostano: 20:55 sri, 11. 2. 2009    Naslov: Citirajte i odgovorite

kod matrice A-2I ne možeš prekrižiti zadnji red odnosno red (0,0,0)
taj red ti daje jednadžbu: 00x1+ 0x2+ 0x3=0
iz prve jednadžbe imaš da su x1=x2 i da su to proizvoljni brojevi pa ti ostane 0x3=0, a to ti daje da je x3 proizvoljan broj.
kod matrice A-2I ne možeš prekrižiti zadnji red odnosno red (0,0,0)
taj red ti daje jednadžbu: 00x1+ 0x2+ 0x3=0
iz prve jednadžbe imaš da su x1=x2 i da su to proizvoljni brojevi pa ti ostane 0x3=0, a to ti daje da je x3 proizvoljan broj.


Zadnja promjena: 5ra; 20:55 sri, 11. 2. 2009; ukupno mijenjano 1 put.
[Vrh]
Korisnički profil Pošaljite privatnu poruku
mischa
Forumaš(ica)
Forumaš(ica)


Pridružen/a: 15. 09. 2007. (17:52:41)
Postovi: (D8)16
Spol: žensko
Sarma = la pohva - posuda
= 15 - 8

PostPostano: 20:55 sri, 11. 2. 2009    Naslov: Citirajte i odgovorite

[quote="Blah"]Kaj sam tu krivo?[/quote]

e1=a1/norma(a1)
b2=a2-(a2Ie1)e1
e2=b2/norma(b2)
b3=b3-(b3Ie1)e1 - (b3Ie2)e2
e3=b3/norma(b3)

sorry sto izgleda ovako ruzno :(
Blah (napisa):
Kaj sam tu krivo?


e1=a1/norma(a1)
b2=a2-(a2Ie1)e1
e2=b2/norma(b2)
b3=b3-(b3Ie1)e1 - (b3Ie2)e2
e3=b3/norma(b3)

sorry sto izgleda ovako ruzno Sad


[Vrh]
Korisnički profil Pošaljite privatnu poruku Pošaljite e-mail
Prethodni postovi:   
Započnite novu temu   Odgovorite na temu   printer-friendly view    Forum@DeGiorgi: Početna -> Kolegiji 3. godine -> Vektorski prostori Vremenska zona: GMT + 01:00.
Idite na Prethodno  1, 2, 3, 4  Sljedeće
Stranica 3 / 4.

 
Forum(o)Bir:  
Možete otvarati nove teme.
Možete odgovarati na postove.
Ne možete uređivati Vaše postove.
Ne možete izbrisati Vaše postove.
Ne možete glasovati u anketama.
You can attach files in this forum
You can download files in this forum


Powered by phpBB © 2001, 2002 phpBB Group
Theme created by Vjacheslav Trushkin
HR (Cro) by Ančica Sečan